Question 1.
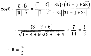
Find the angle between the vectors i̅ + 2j̅ + 3k̅ and 3i̅ – j̅ + 2k̅. (Mar. ’14)
Answer:
Let a̅ = i̅ + 2j̅ + 3k̅ and b̅ = 3i̅ – j̅ + 2k̅ and θ be the angle between them. Then

Question 2.
If the vectors 2i̅ + λ j̅ – k̅ and 4i̅ – 2j̅+ 2k̅ are perpendicular to each other then find λ. [March, May 2005]
Answer:
Let a̅ = 2i̅ + λ j̅ – k̅ and b̅ = 4i̅ – 2j̅+ 2k̅ and If a̅ is perpendicular to b̅ then a̅.b̅ = o
⇒ (2i̅ + λ j̅ – k̅).(4i̅ – 2j̅+ 2k̅) = o
⇒ 8 – 2λ – 2 = 0 ⇒ 6 – 2λ = 0 ⇒ λ = 3
Question 3.
For what values of , the vectors i̅ – j̅ + 2k̅ and 8i̅ + 6j̅ – k̅ are at right angles?
Answer:
Let a̅ = i̅ – j̅ + 2k̅ and b̅ = 8i̅ + 6j̅ – k̅
If a̅, b̅ are right angles then a̅.b̅ = o
⇒ 8 – 6λ – 2 = 0
⇒ -6λ + 6 = 0
⇒ λ = 1
Question 4.
a̅ = 2i̅ – j̅ + k̅, b̅ = i̅ – 3j̅ – 5k̅. Find the vector c such that a, b and c form the sides of a triangle.
Answer:
a̅ = 2i̅ – j̅ + k̅, b̅ = i̅ – 3j̅ – 5k̅
∵ a̅, b̅, c̅ form the sides of a triangle a̅ + b̅ + c̅ = 0

∴ c̅ = -a̅ – b̅
= -(2i̅ – j̅ + k̅) – (i̅ – 3 j̅ – 5k̅)
= -3i̅ + 4j̅ + 4k̅
Question 5.
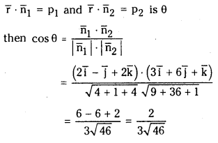
Find the angle between the planes r̅ . (2i̅ – j̅ + 2k̅) = 3 and r̅ .(3i̅ + 6j̅ + k̅) =4 (March 2015-T.S)
Answer:
If the angle between planes

Question 6.
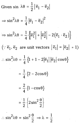
Let e¯¯1 and e¯¯2 be unit vectors making angle θ. If 12|e¯¯1−e¯¯2| = sin λθ, then find λ.
Answer:

Question 7.
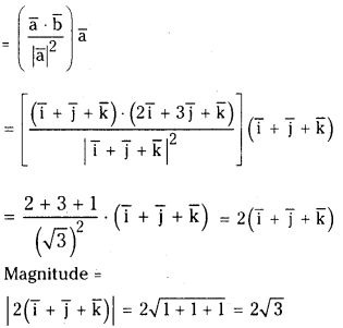
Let a̅ = i̅ + j̅ + k̅ and b̅ = 2 i̅ + 3j̅ + k̅. Find
(i) the projection vector of bona and its magnitude
(ii) The vector components of b̅ in the direction of a̅ and perpendicular to a̅. [May 2006]
Answer:
Orthogonal projection of a vector b̅ on a̅ is

(ii) The component vector b in the direction of –

Question 8.
Find the equation of the plane through the point (3, – 2, 1) and perpendicular to the vector (4, 7, – 4).
Answer:
The equation of the plane passing through a̅ and perpendicular to the vector n̅ is r̅. n̅ = a̅. n̅
Given n̅ = 4i̅ + 7j̅ – 4k̅ and a̅ = 3i̅ – 2j̅ + k̅
r̅ . (4i̅ + 7j̅ – 4k̅) – (3i̅ – 2j̅ + k̅) . (4i̅ + 7j̅ – 4k̅)
r . (4i̅ + 7j̅ – 4k̅) = 12 – 14 – 4 = – 6
⇒ r̅ . (-4i̅ – 7j̅ + 4k̅) = 6
Question 9.
If a̅ = 2i̅ + 2j̅ – 3k̅, b = 3i̅ – j̅ + 2k̅, then find the euigle between 2a̅ + b̅ and a̅ + 2b̅.
Answer:
Given a̅ = 2i̅ + 2j̅ – 3k̅ and b̅ = 3i̅ – j̅ + 2k̅
We have
2a̅ + b = 4i + 4j̅ – 6k̅ + 3i̅ – j̅ + 2k̅ = 7i̅ + 3j̅ – 4k̅
and a̅ + 2b̅ = (2i̅ + 2 j̅ – 3k̅) + 2(31-7 + 2k) = 8i̅ + k̅
Let ‘θ’ be the angle between the vectors 2a̅ + b̅ and a̅ + 2b̅

II.
Question 1.
Find the unit vector parallel to the XOY plane and perpendicular to the vector 4i̅ – 3j̅ + k̅.
Answer:
Any vector parallel to XOY plane will be of the form xi̅ + yj̅.
The vector parallel to the XOY plane and perpendicular to the vector 4i̅ – 3j̅ + k̅ is 3i̅ + 4j̅
Its magnitudes |3i̅ + 4j̅| =
Unit vector parallel to XOY plane and perpendicular to the vector 4i̅ – 3j̅ + k̅ is
Question 2.
If a̅ + b̅ + c̅ = 0, |a̅I|= 3, |b̅| = 5 and |c̅| = 5 then find the angle between a̅ and b̅.
Answer:
Given a̅ + b̅ + c̅ = 0
c̅ = -(a̅ + b̅)
⇒ |c̅|2 = (a̅ + b̅)2 = a̅2 + b̅2 + 2(a̅. b̅)
⇒ 49 = 9 + 25 + 2( .6)
Question 3.
If |a̅| = 2, |b̅| = 3 and |c̅| = 4 juid each of a̅, b̅, c̅ is perpendicular to the sum of the other two vectors, then find the magnitude of a̅ + b̅ + c̅.
Answer:
Given |a̅| = 2, |b̅| = 3 and |c̅| = 4
Since each of a̅, b̅, c̅ is perpendicular to the sum of other two vectors i.e., a̅ is perpendicular to b̅ + c̅
a̅ . (b̅ + c̅) = 0 ⇒ a̅ . b̅ + a̅ . c̅ = 0
Similarly
b̅.(c̅ + a̅) = 0 ⇒ b̅.c̅ + b̅.a̅ = 0
and c-(a + b) = 0 ⇒ c̅. a̅ + c̅. b̅ = 0 Adding we get
2 [(a̅ . b̅) + (b̅ . c̅) + (c̅ . a̅)] = 0 …….(1)
Also (a̅ + b̅ + c̅)
= |a̅|2 + |b̅|2 + |c̅|2 + 2(a̅.b̅ + b̅.c̅ + c̅.a̅)
= 4 + 9 + 16 + 2(a̅.b̅ + b̅. c̅ + c̅.a̅)
= 4 + 9 + 16 + 2 (0) = 29
∴ |a̅ + b̅ + c̅| =
Question 4.
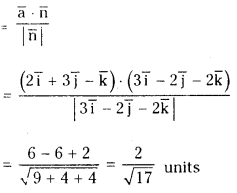
Find the equation of the plane passing through the point a̅ = 2i̅ + 3j̅ – k̅ and perpendicular to the vector 3i̅ – 2j̅ – 2k̅ and the distance of this plane from the origin.
Answer:
Equation of the plane passing through the point a, and perpendicular to the vector n̅ is (r̅ – a̅) . n̅ = 0
⇒ 7 . n̅ = a̅ . n̅
(liven a̅ = 2i̅ + 3 j̅ – k̅ and n̅ = 3i̅ – 2j̅ – 2k̅
We have r̅ . (3 i̅ – 2 j̅ – 2k̅)
= (2i̅ + 3j̅ – k̅) . (3i̅ – 2j̅ – 2k̅)
= 6 – 6 + 2 = 2
⇒ r̅ . (3i̅ – 2j̅ – 2k̅) = 2
The distance from origin to this plane is

Question 5.
a̅, b̅, c̅ and d̅ are the position vectors of four coplanar points such that (a̅ – d̅) . (b̅ – c̅) = (b̅ – d̅) . (c̅ – a̅) = 0. Show that the point d represents the orthocentre of the triangle with a̅, b̅ and c̅ as its vertices.
Answer:

Position vectors of A, B, C, D are a̅, b̅, c̅, d̅ respectively.
Given (a̅ – d̅) . (b̅ – c̅) = 0
⇒
⇒
∴
and (b̅ – d̅) . (c̅ – a̅) = 0
⇒
⇒
Altitudes AD and BD intersect at D
D(d) is the orthocentre of ΔABC.
III.
Question 1.
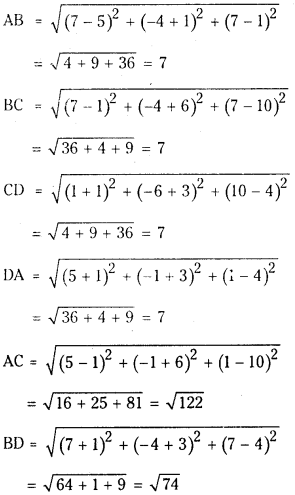
Show that the points (5, – 1, 1), (7, – 4, 7), (1,-6, 10) and (- 1, – 3, 4) are the vertices of a rhombus. (March 2013)
Answer:
Let A (5,-1, 1), B (7,-4, 7), C (1,-6, 10) and D (- 1, – 3, 4) are the given points.

∴ AB = BC = CD = DA = 7 units and AC ≠ BD
∴ A, B, C, D are the points which are the vertices of a rhombus.
Question 2.
Let a̅ = 4i̅ + 5j̅ – k̅, b̅ = i̅ – 4j̅ + 5k̅ and c̅ = 3i̅ + j̅ – k̅. Find the vector which is perpendicular to both a and b and whose magnitude is twenty one times the magnitude of c̅.
Answer:
Given a̅ = 4 i̅ + 5 j̅ – k̅
b̅ = i̅ – 4 j̅ + 5k̅
and c̅ = 3 i̅ + j̅ – k̅
Let r̅ = xi̅ + yj̅ + zk̅ be the vector which is perpendicular to both a and b.
Then r̅. a̅ = 0 and r̅.b̅ = 0
⇒ 4x + 5y – z = 0 …………..(1)
and x – 4y + 5z = 0 ……….(2)
⇒ x = λ, y = -λ, z = -λ
∴ The vector which is perpendicular to both a̅ and b̅ is r̅ = λ(i̅ – j̅ – k̅)
Magnitude of c =
∴ The vector which is perpendicular to both a̅ and b̅ whose magnitude is 21 times the
magnitude of c̅ is = ±
= ± 7
Question 3.
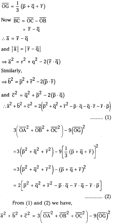
G is the centroid of ΔABC and a̅, b̅, c̅ are the lengths of the sides BC¯¯¯¯¯¯¯,CA¯¯¯¯¯¯¯ and AB¯¯¯¯¯¯¯ respectively. Prove that a¯2+b¯2+c¯2=3(OA¯¯¯¯¯¯¯¯2+OB¯¯¯¯¯¯¯2+OC¯¯¯¯¯¯¯¯2)−9(OG¯¯¯¯¯¯¯¯)2 . where ‘O’ is any point.

Answer:
Given that
Let O’ be the origin and let p.q.r be the position vectors of A, B, C then
Then the position vector of centroid

Question 4.
A line makes angles θ1, θ2, θ3, and θ4 with the diagonals of a cube. Show that cos2θ1 + cos2θ2 + cos2θ3 + cos2θ4 =
Answer:

Let ‘O’ be the origin and ‘a’ be the length of the side of a cube.
i̅, j̅, k̅ are unit vectors along X, Y and Z axes respectively.

Let r̅ = xi̅ + yj̅ + zk̅ be the line makes angles θ1, θ2, θ3, θ4 with diagonals of a cube

Contents
- 1 Question 1. Find the angle between the vectors i̅ + 2j̅ + 3k̅ and 3i̅ – j̅ + 2k̅. (Mar. ’14)
- 2 Question 2. If the vectors 2i̅ + λ j̅ – k̅ and 4i̅ – 2j̅+ 2k̅ are perpendicular to each other then find λ. [March, May 2005]
- 3 Question 3. For what values of , the vectors i̅ – j̅ + 2k̅ and 8i̅ + 6j̅ – k̅ are at right angles?
- 4 Question 4. a̅ = 2i̅ – j̅ + k̅, b̅ = i̅ – 3j̅ – 5k̅. Find the vector c such that a, b and c form the sides of a triangle.
- 5 Question 5. Find the angle between the planes r̅ . (2i̅ – j̅ + 2k̅) = 3 and r̅ .(3i̅ + 6j̅ + k̅) =4 (March 2015-T.S)
- 6 Question 6. Let e¯¯1 and e¯¯2 be unit vectors making angle θ. If 12|e¯¯1−e¯¯2| = sin λθ, then find λ.
- 7 Question 8. Find the equation of the plane through the point (3, – 2, 1) and perpendicular to the vector (4, 7, – 4).
- 8 Question 9. If a̅ = 2i̅ + 2j̅ – 3k̅, b = 3i̅ – j̅ + 2k̅, then find the euigle between 2a̅ + b̅ and a̅ + 2b̅.
- 9 II. Question 1. Find the unit vector parallel to the XOY plane and perpendicular to the vector 4i̅ – 3j̅ + k̅.
- 10 Question 2. If a̅ + b̅ + c̅ = 0, |a̅I|= 3, |b̅| = 5 and |c̅| = 5 then find the angle between a̅ and b̅.
- 11 Question 3. If |a̅| = 2, |b̅| = 3 and |c̅| = 4 juid each of a̅, b̅, c̅ is perpendicular to the sum of the other two vectors, then find the magnitude of a̅ + b̅ + c̅.
- 12 Question 4. Find the equation of the plane passing through the point a̅ = 2i̅ + 3j̅ – k̅ and perpendicular to the vector 3i̅ – 2j̅ – 2k̅ and the distance of this plane from the origin.
- 13 Question 5. a̅, b̅, c̅ and d̅ are the position vectors of four coplanar points such that (a̅ – d̅) . (b̅ – c̅) = (b̅ – d̅) . (c̅ – a̅) = 0. Show that the point d represents the orthocentre of the triangle with a̅, b̅ and c̅ as its vertices.
- 14 III. Question 1. Show that the points (5, – 1, 1), (7, – 4, 7), (1,-6, 10) and (- 1, – 3, 4) are the vertices of a rhombus. (March 2013)
- 15 Question 2. Let a̅ = 4i̅ + 5j̅ – k̅, b̅ = i̅ – 4j̅ + 5k̅ and c̅ = 3i̅ + j̅ – k̅. Find the vector which is perpendicular to both a and b and whose magnitude is twenty one times the magnitude of c̅.
- 16 Question 3. G is the centroid of ΔABC and a̅, b̅, c̅ are the lengths of the sides BC¯¯¯¯¯¯¯,CA¯¯¯¯¯¯¯ and AB¯¯¯¯¯¯¯ respectively. Prove that a¯2+b¯2+c¯2=3(OA¯¯¯¯¯¯¯¯2+OB¯¯¯¯¯¯¯2+OC¯¯¯¯¯¯¯¯2)−9(OG¯¯¯¯¯¯¯¯)2. where ‘O’ is any point.

