TS Inter 1st Year Maths 1A Matrices Solutions Exercise 3(i)
Question 1.
2x + 3y – z = 0,
x – y – 2z = 0,
3x + y + 3z = 0
Answer:
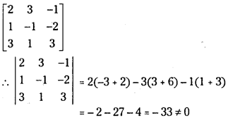
The coefficient matrix obtained from the given equations is

Since the determinant of the coefficient matrix ≠ 0 the system has a trivial solution, x = y = z = 0 and ρ(A) = 3.
Question 3.
x + y – 2z = 0,
2x + y – 3z = 0,
5x + 4y – 9z = 0
Answer:
The coefficient matrix is
A =
and
= 1(-9 + 12) – 1(-18 + 15) – 2
= 3 + 3 – 6 = 0
If

∴ System of equations is equivalent to
x + y – 2z = 0 and y – z = 0
Let z = k then y = k and x = k
∴ x = y = z = k for a real number k.
Question 4.
x + y – z= 0
x – 2y + z = 0
3x + 6y – 5z = 0
Answer:
Coefficient matrix
A =
|A| = 1(10 – 6) – 1(-5 – 3) – 1(6 + 6)
= 4 + 8 – 12 = 0
∴ If
A =
Use R2 – R1 and R3 – 3R1
A –
System of equations is equivalent to x + y – z = 0
3y – 2z = 0
Let z = k, then 3y = 2k
⇒ y =
x = -y + z = –
x =
for any real number of k.

