Solutions

Improve Your Learning
I. Reflections on concepts

Question 1.
Explain how electron flow causes electric current with Lorentz-Orude’s theory of electrons.

Answer:
1. Lorenti and Drude, scientists of 19th Century proposed that conductors like metals contain large number of free electrons while the positive ions are fixed in their locations. The arrangement of the positive ions is aimed lattice.
2. Assume that a conductor is an open circuit. The electrons move randomly in lattice space of a conductor as shown in the following figure.

3. When the electrons are in random motion, they can move in any direction.

4. Hence if we imagine any cross-section as In above figure, the number of electrons, crossing the cross-section of a conductor from left to right in one second is equal to that of electrons passing the cross-section from right to left in one second and the nett charge moving along conductor through any cross-section Is zero when the conductor is in open circuit.

5. When the ends of the conductor are connected to a source (say, battery) through a bulb, the bulb glows because energy transfer takes place from battery to the bulb.

6. As the electrons are responsible for transfer of energy from battery to the bulb, they must have an ordered motion.

7. When the electrons are in ordered motion there will be a net charge crossing any cross-section of the conductor.

8. This ordered motion of electrons Is called electric current.

Question 2.
Write the difference between potential difference and emf.

Answer:

Potential difference (pd) Electro motive force (emf)
1. Work done by the electric force on unit positive charge to move it through a distance ‘l’ from A to B is called potential difference between those points. 1. emf is defined as work done by the chemical force to move unit positive charge from negative terminal to positive terminal of the battery.
2. Potential difference V = W/q=Fel/q 2. emf ε =W/q=Fed/q
3. The S.I unit of potential difference is Volt. 3. The S.I unit of emf is Volt’.
4. Potential difference can be measured by using a voltmeter, which is connected parallel in a circuit. 4. emf can be measured by using volt meter, which is connected parallel in between two terminals in a circuit.
Question 3.
How can you verify that the resistance of a conductor is temperature dependent?

Answer:

  1. Take a bulb and measure the resistance of the bulb using a multimeter in open circuit. Note the value of the resistance.
  2. Now connect the bulb in a circuit and switch on the circuit.
  3. After a few minutes the bulb gets heated.
  4. Now measure the resistance of the bulb again with multimeter.
  5. The value of resistance of the bulb in second instance is more than the resistance of the bulb in open circuit.
  6. Here the increase in temperature of the filament in the bulb is responsible for increase in resistance of the bulb.
  7. Thus the value of resistance of a conductor depends on the temperature.
Question 4.
What do you mean by electric shock? Explain how it takes place.

Answer:

  • If we touch live wire of 240V which gives 0.0024 A of current flows through the body the function g of organs inside the body gets disturbed.
  • This disturbance inside the body is felt as electric shock.
  • If the current flow continues further, it damages the tissues of the body which leads to decrease ¡n resistance of the body.
  • When this current flows for a longer time, damage to the tissues increases and there by the resistance of human body decreases further.
  • Hence, the current through the human body will increase.
  • If this current reaches 0.07 A, it affects the functioning of the heart.
  • If this current passes through the heart for more than one-second t could be fatal.
Question 5.
Draw a circuit diagram for a circuit in which two resistors A and B are connected in series with a battery and a voltmeter is connected to measure the potential difference across the resistor A.

Answer:
A circuit diagram in which two resistors A and B are connected ¡n series with a battery and a voltmeter is connected to measure the p.d. across the resistor A.

Question 6.
In the below figure, the potential at A is ……………………… when the potential at B is zero.

Answer:
Apply Kirchoff’s loop rule VA-5 x 1 - 2-Vb=0
VA-5 - 2-0 =0 →VA= 7V
The potential at A = 7V when the potential at B = O

Question 7.
How does a battery work? Explain.

Answer:
1. A battery consists of two metal plates (electrodes) and a chemical (electrolyte).
2. This electrolyte consists positive and negative ions which move In opposite directions.
3. This electrolyte exerts a force called chemical force (Fc) to make the ions move in a specified direction.
4. Positive Ions move towards one plate and accumulate on that. As a result this plate becomes positively charged (Anode).

5. Negative Ions move to another plate and accumulate on that. As a result of this the plate becomes negatively charged (Cathode).
6. This accumulation continues till both plates are sufficiently charged.
7. But the ions experience another force called electric force (Fe) when sufficient number of charges accumulated on the plates.
8. The direction of Feis opposite to Fcand magnitude depends on the amount of charge accumulated on the plates.
9. The accumulation of charges on plates is continuous till Febecomes equal to FcNow there will not be any motion due to balance of Feand Fc.

10. The new battery that we buy from the shop is under the Influence of balanced forces. This Is the reason for the constant RD. between the terminals of a battery.

11. When a conducting wire Is connected to the terminals of the battery, a RD. is created between the ends of the conductor which sets up an electric field through-out the conductor.

12. The large number of electrons In the conductor, near the positive terminal of the battery are attracted by It and start to move towards positive terminal. As a result the amount of positive charge on this plate decreases. So Febecomes weaker than Fcand Fcpulls negative ions from anode towards cathode.

13. The negative terminal pushes one electron into the conductor because of stronger repulsion between negative terminal and negative ion.

14. Hence. the total number of electrons in the conductor remains constant during the current flow. The above-said process continues till Fe= Fc.

Question 8.
Explain Kirchhoff’s laws with examples.
Answer:
Kirchhoffs laws:
1. The junction law: At any junction point in a circuit where the current can divide, the sum of the currents in the junction must equal to the sum of the currents leaving the junction.
This means that there is no accumulation of electric charges at any junction in a circuit. Eg: ‘P Is the junction
I1, I4,and I6are the currents into the junction.
I2, I3,and I5are the currents leaving the junction.
According to Kirchhoff’s junction law
I1+I4+I6= I2+I3+I5

2) The loop law: The algebraic sum of the increases and decreases in potential difference across various components of a closed circuit loop must be zero.
Eg: For the loop ACDBA
-V2+I2R2-I1R1+V1=O
For the loop EFDCE
– (I1+ I2) R3-I2R2+ V2= O
For the loop EFBAE
-(I1+I2)R3-I1R1+V1=O

Question 9.
Deduce the expression for the equivalent resistance of three resistors connected In series.

Answer:
Two or more resistors are said to be connected in series if the current flowing through one, also flows through the others.
In series combination, we know that
1. The same current passes through the resistors.
2. The potential difference across combination of resistors is equal to the sum of the voltages across the individual resistors.
Connect the circuit as shown n the figure.
The cell connected across the series combination of 3 resistors maintains a potential difference (v) across the combination. The current through the combination is I.

Let us replace the combination of 3 resIstors by a single resistor Reqsuch that current does not change.
Reqis given by Ohm’s law as
Req=VI
⇒V=IReq

The potential differences V1, V2, V3across the resistors R1, R2and R3
respectively are given by Ohm’s law as
V1= IR1, V2= IR2, V = IR3
Since the resistances are connected in series
V= V1+V2+V3
IReq= IR1+ IR2+ IR3
I (Req) = I (R1+ R2+ R3)
⇒ Req= R1+ R2+ R3
Similarly, for n resistors connected in series,
Req= R1+ R2+ R3+ ………………………. +Rn.

Question 10.
Deduce the expression for the equivalent resistance of three resIstors connected In parallel.

Answer:
If resistances are connected in such a way that the same potential difference gets applied across each of them, they are said to be connected In parallel.

For a parallel combination, we know that,

  1. The total current flowing Into the combination is equal to the sum of the currents passing through the individual resistors ⇒ I = I1+ I2+ I3
  2. The potential difference remains constant V1= V2= V3= V.
    Connect the circuit as shown in the figure.
  3. The cell connected across 3 resistors maintains the same potential difference across each resistor.
  4. The current I gets divided at A into 3 parts I1I2and I3which flows through R1, R2,and R3respectively.
  5. Let us replace the combination of resistors by an equivalent resistance Reqsuch that potential difference across the circuit does not change.
  6. The equivalent resistance Req=V/I⇒I=V/Req
  7. The currents I1,I2,I3across R1,R2and R3 are given by I1=V/R1, I2=V/R2, I3=V/R3,

Since the resistors are in parallel,

Question 11.
What is the value of 1KWH in joules?

Answer:
1 KWH = (1000 J/s) (60 × 60s) = 3600 × 1000J = 3.6 × 106So, 1KWH is equal to 3.6 x 106Joules.

Question 12.
Silver is a better conductor of electricity than copper. Why do we use copper wire for conduction of electricity?

Answer:
Reasons:

  • Copper has low resistivity. When electricity is passed through copper wires, the power losses in the form of heat are very small.
  • Cost of copper versus that of silver metal, copper is less expensive.
  • Copper has flexibility and resistance to breakage.
  • Copper is cheaply available than silver.

Application of concepts

Question 1.
Explain overloading of household circuit.

Answer:

  1. Electricity enters our homes through two wires called lines. These lines have low resistance and the potential difference between the wires is usually about 240 V.
  2. All electrical devices are connected in parallel in our home. Hence, the potential drop across each device is 240 V.
  3. Based on the resistance of each electric device, it draws some current from the supply. Total current drawn from the mains is equal to the sum of the currents passing through each device.
  4. If we add more devices to the household circuit the current drawn from the mains also increases.
  5. This leads to overheating and may cause a fire. This is called “overloading”.

For example:
If we switch on devices, such as heater shown in the figure, from the mains exceeds the maximum limit 20 A.

Question 2.
Why do we use fuses in household circuits?

Answer:

  1. The fuse consists of a thin wire of low melting point.
  2. To prevent damages due to overloading we connect an electric fuse to the household circuit.
  3. When the current in the fuse exceeds 20A, the wire will heat up and melt.
  4. The circuit then becomes open and prevents the flow of current into the household circuit. So all the electric devices are saved from damage that could be caused by overload.
  5. Thus, we can save the household wiring and devices by using fuses.
Question 3.
Two bulbs have ratings 100W, 220V, and 60W, 220V. Which one has the greater resistance?

Answer:
Resistance of first bulb R1= V2/P=220×220/100 = 484 ?
Resistance of second bulb R2 = V2/P=220×220/60=4840/6 = 806.6?
∴ The bulb rated 60W, 220V has higher resistance.

Question 4.
Why don’t we use series arrangement of electrical appliances like bulb, Television, fan and others in domestic circuits?

Answer:

  1. We have seen that in a series circuit, the current is constant throughout the electric circuit.
  2. But it is obviously impracticable to connect an electric bulb and an electric heater in series because they need currents of widely different values to operate properly.
  3. Another major disadvantage of a series circuit is that when one component fails, the circuit is broken and none of the other components works.
Question 5.
Are the headlights of a car connected in series or parallel? Why?

Answer:
The headlights of a car are connected in parallel.
Reason:

  • When they are connected in parallel, same voltage (P.D) will be maintained in the two lights.
  • If one of the lights damaged, the other will work without any disturbance.
Question 6.
Why should we connect electric appliances in parallel in a household circuit? What happens if they are connected in series?

Answer:
We should connect the electric appliances in parallel to household circuit because

  • Each appliance gets the full voltage.
  • The parallel circuit divide the current through the appliances. Each appliance gets proper current depending on its resistance.
  • If one appliance is switched on/off others are not affected.

If appliances are connected in series the following disadvantages are arised:

  • The same current will flow through all the appliances, which is not desired.
  • Total resistance becomes large and the current gets reduced.
  • We cannot use independently on/off switches with individual appliances.
  • All appliances have to be used simultaneously even if we don’t need them.
Question 7.
If the resistance of your body is 10000012, what would be the current that flows in your body when you touch the terminals of a 12V battery?

Answer:
Resistance of the body (R) 1,00,000 Ω
Potential difference of the battery (V) =12V
Current that flows in the body (I) = ?
According to Ohm"s law, V/I = R
? I = V/R=12/1,00,000 = 0.00012 A

Question 8.
A wire of length 1m and radius 0.1 mm has a resistance of 100W. Find the resistivity of the material.

Answer:
Resistance of wire, R = 100 Ω
Radius of wire, r = 0.1mm = 1 x 10-4 m
Length of wire, l = 1m
Formula for resistivity of wire: ρ =RA/l=R?r2/l
Substituting the given values, ? = 22/7×102×10?4×10?4/l = 227×10?6 ohm-meter
= 3.14 × 10-6 ohm-mt

Question 9.
Why do we consider tungsten as a suitable material for making the filament of a bulb?
(Or)
What is the reason for using tungsten as a filament in electric bulb?

Answer:
Tungsten has a high resistivity value (5.60 ×10-8 m) and a high melting point (3422°C). So the filament of a bulb is usually made of tungsten. Its high resistivity enables the filament to become red hot soon and then it produces white heat to emit light. Its high melting point keeps it in a solid state and also prevents oxidation.

Question 10.
How can you appreciate the role of a small fuse in house wiring circuit in preventing damage to various electrical appliances connected to the circuit?

Answer:

  1. The fuse consists of a thin wire of low melting point. When the current in the fuse exceeds $20 mathrm{~A}$, the wire will heat up and melt.
  2. The circuit then becomes open and prevents the flow of current into the household circuit. So all the electric devices are saved from change that could be caused by overload.
  3. Thus we can save the house holding wiring and devices by using fuses.
  4. So we should appreciate the role of fuse in preventing damage to electrical appliances in household circuits.
Question 11.
Uniform wires of resistance 100c are melted and recast into wire of length double that of the original. What would be the resistance of the new wire formed?

Answer:
Before recasting,
Resistance R1= 100 Ω
length (l1)= l (say)
After recasting
Resistance R2= ?
length (‘l2) = 2l

We know that R α l,
R1/R2=L1/L2

Higher Order Thinking Questions

Question 1.
Imagine that you have three resistors of 30 Ω each. How many resultant resistances can be obtained by connecting these three in different ways. Draw the relevant diagrams.

Answer:
Let R1= 30Ω, R2= 30Ω, R3= 30Ω
We get different resistors by different combinations as shown below.

Question 2.
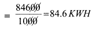
A house has 3 tube lights, two fans and a Television. Each tube light draws 40W. The fan draws 80W and the Television draws 60W. On the average, all the tube lights are kept on for five hours, two fans for 12 hours and the television for five hours every day. Find the cost of electric energy used in 30 days at the r ate of Rs. 3.00 per Kwh.

Answer:
Power consumption by tube lights in a day = 40W x 3 x 5H = 600 WH
Power consumption by fans in a day = 80W x 2 x 12H = 1920 WH
Power consumption by television in a day = 60W x 1 x 5H = 300 WH
Total power consumption in a day = 600 + 1920 + 300 = 2820 WH
Power consumption for 30 days = 2820 x 30 = 84600 WH

Rate of 1 KWH = Rs 3/- Total consumption = 84.60 x Rs.3 = Rs. 253.80

Question 3.
Observe the circuit and answer the questions given below:

(i) Are resIstors 3 and 4 In series?
(ii) Is the battery in series with any resistor?
(iii) What is the potential drop across the resistor 3?
(iv) What is the total emf in the circuit if the potential drop across resistor 1 is 6V?

Answer:
(i) No. Resistors 3 and 4 are not in series. They are in parallel.
(ii) No.
(iii) As resistors 3 and 4 are in parallel, same potential difference will be allowed
through them. Hence the potential drop across resistor 3 is 8V.
(iv) Total emf=V1+V2+V3+V4=6V+14V+8V+8V=36V.

Suggested Experiments

Question 1.
State Ohm’s law. Suggest an experiment to verify it and explain the procedure.

Answer:
A. Ohm’s Law: The potenbal difference between the ends of a conductor is directly proportional toe the electric current passing through it at constant temperature.
Verification:
Aim: To verify Ohm’s law or to show that -=Co,,ctani
Materials required: 5 dry cells of 1.5V each, conducting wires, an ammeter,
a voltmeter, Manganin wire of length 10cm, LED and Key.

Procedure:
1. Connect a circuit as shown in figure.
2. Solder the connecting wires to the ends of the Manganin wire.
3. Close the key.
4. Note the readings of current from Baltery Key ammeter and potential difference from volt meter in the following table.

Potential difference (V) Current (I) V/I
     
     

5. Now connect 2 cells (in series) instead of one cell in the circuit. Note the values of ammeter and voltmeter and record them in the above table.
6. Repeat the same for three cells, four cells, five cells respectively.
7. Record the values of V and I corresponding to each case in the table.
8. Find VI for each set of values.
9. We notice that VI  is a constant.
V ∝ I ⇒ VI= Constant
This constant is known as resistance of the conductor, denoted by R.
⇒ VI = R
∴ Ohm’s law is verified.

Question 2.
How do you verify that resistance of a conductor is proportional to the length of the conductor for constant cross-section area and temperature?

Answer:
1. Collect Iron spokes of different lengths with the same cross-sectional area.
2. Make a circuit as shown in the figure.
3. Connect one of the iron spokes between P and Q.
4. Measure the value of the current using the ammeter connected to the circuit and note in your notebook.
5. Repeat this for other lengths of the iron spokes. Note the corresponding values of currents in your notebook as shown below.

Length Of Iron Spoke Current (i)
   
   
   
  1. We observe that current decreases as the length of the spoke increases.
  2. We also know that resistance increases as current decreases.
  3. Hence the resistance of iron spoke increases as its length increases.
  4. We conclude that the resistance of a conductor is directly proportional to its length for a constant-potential difference and constant cross-sectional area.

R ∝ l

Suggested Projects

Question 1.
a. Take a battery and measure the potential difference. Make a circuit and measure the potential difference when the battery is connected in the circuit. Is there any difference in potential difference of battery?

Answer:

  1. The potential difference across the terminals of a battery when it is not connected in any circuit is called the Electromotive force of battery or emf of battery.
  2. As soon as the battery is connected to an external circuit, there will be a current through the battery as well as the external circuit.
  3. Due to this current flowing through the battery, there will be a voltage drop inside the battery because of the internal resistance of the battery itself.
  4. Hence when external circuit is connected, the voltage appeared across the terminal of the battery is somewhat less than the open circuit voltage of the battery.
  5. This is because of voltage drop due to internal resistance ¡nside the battery.

b. Measure the resistance of a bulb (filament) in open circuit with a multimeter. Make a circuit with elements such as bulb, battery of 12V and key in series. Close the key. Then again measure the resistance of the same bulb (filament) for every 30 seconds. Record the Observations in a proper table. What can you conclude from the above results?
Answer:
Materials required: a bulb, 12 v battery, key, and multimeter.

Procedure:

  1. Measuretheresistanceofabulb in open circuit.
  2. Connect the bulb, battery and a key in series in a circuit as shown in fig.
  3. Close the key and measure the resistance of a bulb for every 30 seconds with a multimeter and note down them in the following table.

Observations: Resistance of the bulb in open circuit = 4.3 Q.

Time (n sec) Resistance of the bulb (filament) in (Ohms)
0 4.3
30 4.6
60 4.9
90 5.1
120 5.4
150 5.6
180 5.9

Conclusion:

  1. From the above observations, it is clear that the resistance of a bulb (filament increases as the time increases.
  2. This Is because, as the current passes through the filament of a bulb, filament gets heated up and its temperature increases.
  3. As the temperature of the filament increases, its 20 resistance also increases
  4. So, the resistance of a conductor depends upon its temperature.
Question 2.
Calculate the resistance of venous bulbs that you use at your home and find which one is having higher / lower resistance value. Write the report on your observations.

Answer:
We are using following types of bulbs in my bouse,

  1. In candescent bulb (100 W)
  2. Fluorescent tube lights (40 W)
  3. CFL lamp (20 W)
  4. LED bulb (10 W)

Conclusion:

  • From the above observations, it is clear that the LED bulb of low wattage has higher resistance.
  • So, it is clear that the resistance of a electrical appliance is more ¡f its wattage is less.
Question 3.
Collect the information and prepare a report on power consumption in your home/school.

Answer:
In my house, we are using the following electric appliances.
Tubelights (40 W) - 3 (Using daily each for 8 hours)
Fans(80 W) - 3 (UsIng daily each for 10 hours)
Television (60 W) - 1 (UsIng daily each for S hours)
Electric heater (1000 W) - 1 (Using daily each for 30 mm)

Calculation of power consumption :

Total electric energy consumed Per Day = 4160 WH

Conclusion:
Total electric energy consumed for one month (30 days) = 4160 x 30 = 1248000
Total electric energy consumed for one month in KWH =124800/1000= 124.8 KWH
∴ We are consuming nearly 125 KWH (units) of electric energy in my house in a month.

Page 176

Question 1.
What do you mean by electric current?

Answer:
The flow of electrons in a particular direction is called electric current.

Question 2.
Which type of charge (+ve or -ve) flows through an electric wire when it is connected in an electric circuit?

Answer:
Electrons carry nagative charge. So negative charge flows through circuit.

Question 3.
Is there any evidence for the motion of charge in daily life situations?

Answer:

  1. Lightning, which is observed in the sky at the time of heavy rain is an evidence for the motion of charge in the atmosphere.
  2. When we put the switch of an electric lamp ‘on’, the bulb glows. It is also evidence to motion of charge.
Question 4.
Does motion of charge always lead to electric current?

Answer:
Yes.

Question 5.
What do you notice in activity 1?

Answer:
The bulb glows.

Page 177

Question 6.
Can you predict the reasons for the bulb not glowing in situations 2 & 3?

Answer:

  1. In situation 2, the source of current, namely battery is removed from circuit. So the bulb does not glow.
  2. In situation 3, nylon wires do not conduct electricity. Nylon is a non-conductor. So the bulb does not glow.
Question 7.
Why do all materials not act as conductors?

Answer:
The materials in which electrons do not move freely do not act as conductors.

Question 8.
How does a conductor transfer energy from source to bulb?

Answer:
The electrons in a conductor move randomly in lattice space of conductor. These electrons transfer energy from source to bulb.

Question 9.
What happens to the motion of electrons when the ends of the conductor are connected to the battery?

Answer:
When the ends of the conductor are connected to the battery, the transfer of charged particles takes place from battery to bulb and again to the battery. As the circuit is complete and closed the bulb glows.

Page 178

Question 10.
Why do electrons move in specified direction?

Answer:
When the conductor Is connected to a battery, a uniform electric field is set up throughout the conductor. This field makes the electrons move towards positive end.

Question 11.
In which direction do the electrons move?

Answer:
The free electrons in the conductor are accelerated by the electric field and move in a direction opposite to the direction of the field.

Question 12.
Do the electrons accelerate continuously?

Answer:
No

Question 13.
Do they move with constant speed?

Answer:
The electrons collide with lattice ions, lose energy and may even come to rest at every collision.

Page 179

Question 14.
Why does a bulb glow immediately when we switch on?

Answer:
When we switch on any electric circuit, irrespective of length of the connecting wire, an electric field is set up throughout the conductor instantaneously, due to the potential difference of the source connected to the circuit. This electric field makes all the electrons move in a specified direction simultaneously. So the bulb glows immediately.

Question 15.
How can we decide the direction electric current?

Answer:
The direction of electric current is determined by the signs of the charge (q) and drift speed (y).

Page 180

Question 16.
How can we measure electric current?

Answer:
We can measure electric current, using an Ammeter.

Question 17.
Where do the electrons get energy for their motion from?

Answer:
The field exerts a force on the charge (electrons) The free charges accelerate the electric field, if the free charges ar electrons, then the direction of electric force on them ‘s opposite to the direction of electric field. It means that the electric field does some work to move free charges in a specified direction.

Question 18.
Can you find the work done by the electric force?

Answer:
Work done by the electric force on a free charge q ‘s given by W = EJ.

Page 181

Question 19.
What Is the direction of electric current In terms of potential difference?

Answer:
In terms of potential difference, the direction of electric current is from positive terminal to the negative terminal.

Question 20.
Do positive charges move In a conductor? Can you give an example of this?

Answer:
In electrolytic positive charges move towards of negative electrode.

Question 21.
How dosas battery maintain a constant potential difference between Ita terminals?

Answer:
The accumulation of charge on plates continues till the electric force F becomes equal to chemical force F, At this situation, the potential difference between the terminals Is maintained constant.

Question 22.
Why does the battery discharge when ita positive and negative terminals are connected through s conductor?

Answer:
When a conducting wire is connected to the terminals of the battery, a potential difference Is created between the ends and it sets up an electric field throughout the conductor. The electrons near the positive terminal of the battery are attracted by it and start moving towards positive terminal. As a result, the amount of positive charge on the plate decreases and the F becomes weaker than F. So the battery becomes discharged.

Page 182

Question 23.
What happens when the battery is connected in a circuit?

Answer:
When a conducting wire is connected to the terminals of the battery, a potential difference is created between the ends of the conductor. This potential difference sets up an electric field throughout the conductor and Its direction is from positive terminal to negative terminal In the conductor.

Page 183

Question 24.
How can we measure potential difference or emf?

Answer:
Generally, a voltmeter s used to measure potential difference or emf.

Page 184

Question 25.
Is there any relation between emf of battery and drift speed of electrons in the conductor connected to a battery?

Answer:
The ratio of emf and drift speed of electrons Is constant for some materials at constant temperatures.

Page 186

Question 26.
Can you guess the reason why the ratio of V and I in case of LED Is not constant?

Answer:
LED (Light Emitting Diode) is made up of semiconducting material. It is non Ohmic material and so the ratio of V and I in case of LED is not constant.

Question 27.
Do all materials obey Ohm’s law?

Answer:
No. Some materials such as silicon, germanium etc. do not obey Ohm’s law.

Question 28.
Can we classify the materials based on Ohm’s law?

Answer:
Yes. Based on Ohms’s law materials are classified into three categories.

They are:

  • Ohmic materials,
  • Non-Ohmic materials and
  • Semiconductors.
Question 29.
What is resistance?

Answer:
Resistance of a conductor is the obstruction to the motion of electrons in a conductor.

Question 30.
Is the value of resistance the same for all materials?

Answer:
No. Silver and copper have least resistance value. Other materials such as iron, aluminum etc. have little higher resistance values. Tungsten has a very high resistance value.

Question 31.
Is there any application of Ohm’s law in daily life?

Answer:
Ohm’s law has a wide application in daily life:

  1. We use materials like copper which are ohmic conductors to make household electrical wiring and in Industries.
  2. Semiconductors which find an extensive application in modern electronic devices such as TV, DVD, Computers etc., are made up of non-ohmic materials.
  3. The fuse, a device which protects household electrical appliances from high-voltage electric currents, is also an application of Ohm’s law.
Question 32.
What causes electric shock in the human body-current or voltage?

Answer:
It Is the electric current that causes electric shock in the human body. When 0.0024 Amperes of current flows through human body the functioning of organs inside the body gets disturbed. This disturbance inside the body Is felt as electric shock. ¡f the current flow continues further, It damages the tissues of the body which leads to decrease in resistance of the body.

Page 187

Question 33.
Do you know the voltage of mains that we use in our household circuits?

Answer:
The voltage of mains that we use in our household circuits is 240V. Usually, it varies between 220V and 240V.

Think And discuss

Question 1.
What do you mean by short circuit?

Answer:
Short circuit means a connection across an electric circuit with a very low resistance, by an insulation failure etc. Current passes through this by pass.

Question 2.
Why does a short circuit damage electric wiring and devices connected to it?

Answer:
As the current takes short cut, which results in heating or burning which damages the wiring and devices connected to it.

Activity 1

Question 1.
Write an activity to check when a bulb glows in a circuit.

Answer:
Aim: To check when a bulb glows In a circuit.
Materials required:

  1. A bulb
  2. a battery
  3. a switch
  4. insulated copper wire

Procedure (1):

  • Take a bulb, a battery, a switch and few insulated copper wires.
  • Connect the ends of the copper wires to the terminals of the battery through the bulb and switch.
  • Now switch on the circuit.

Observation (1): The bulb glow.
Procedure (2):

  • Remove the battery from the circuit and connect the remaining components to make a complete circuit.
  • Again switch on the circuit and observe the bulb.

Observation (2): The bulb does not glow.
Result: The battery contains charges which glows the buLb.

Lab Activity

Question 2.
State Ohm’s law. Suggest an experiment to verify it and explain the procedure.

Answer:
Aim: To show that the ratio V/I is a constant for a conductor.
Materials required: 5 dry cells of 1.5V each, conducting wires, an ammeter, a voltmeter, thin iron spoke of length 10 cm, LED, and key.

Procedure:

  • Connect a circuit as shown in figure.
  • Solder the conducting wires to the ends of the iron spoke
  • Close the key.
  • Note the readings of current (I) from ammeter and potential difference. (V) from voIt meter in the table given below.
Potential difference (V) Current (I) V/I
     
     
  • Now connect two cells in the circuit and note the respective readings of ammeter and voltmeter in the above table.
  • Repeat the above procedure using three cells and four cells and five cells respectively.
  • Record the values of potential difference (V) and current (I) corresponding to each case in the above table.
  • Find V/I for each set of values.
  • We notice that V/I Is a constant.
  • From this experiment, we can conclude that the potential difference between the ends of the iron spoke is directly proportional to the current passing through it.

Activity 2

Question 3.
Conduct an activity to show that the resistance of a conductor is temperature dependent.

Answer:

  1. Take a bulb and measure the resistance of the bulb using a multimeter in open circuit. Note the value resistance.
  2. Now connect the bulb in a circuit and switch on the circuit.
  3. After few minutes the bulb gets heated.
  4. Now measure there’s distance of the bulb again with multimeter.
  5. The value of resistance of the bulb in second instance Is more than the resistance of the bulb In open circuit.
  6. Here the increase in temperature of the filament in the bulb is responsible for increase In resistance of the bulb.
  7. Thus the value of resistance of a conductor depends on the temperature.

Activity 3

Question 4.
Show that the resistance of a conductor depends on the material of the conductor.

Answer:

  1. Collect different metal rods of the same length and same cross-sectional area like copper, aluminum, iron, etc.
  2. Make a circuit as shown in the figure.
  3. p and Q are the free ends of the conducting wires Different metal rods are connected between P and Q.
  4. Connect one of the metal rods between the ends P and Q.
  5. Switch on the circuit.
  6. Measure the current using the ammeter connected to the circuit and note it in your notebook.
  7. Repeat this with other metal rods and measure electric current In each case.
  8. We notice that the values of current are different for different metal rods for a constant potential differences.
  9. Hence, we conclude that the resistance of a conductor depends on the material of the conductor.

Activity 4

Question 5.
Conduct an activity to show that resistance of a conductor is proportional to the length of the conductor for constant cross-section area and temperature.

Answer:

  1. Collect iron spokes of different lengths with Metal rods at different lengths are connected between P and Q same cross-sectional area
  2. Make a circuit leaving gap between P and Q as shown in figure.
  3. Connect one of the Iron spokes say 10 cm long between P and Q
  4. Measure the value of current using ammeter connected to the circuit and note the value of current.
  5. Repeat this experiment for other lengths say 20cm, 30 cm, 40 cm of iron spokes and note the corresponding values of current In each case.
  6. We notice that the value of current decreases with increasing in the length of the iron spoke
  7. Thus the resistance of iron spoke increases with Increasing in the length i.e R α l
  8. From this we conclude that the resistance (R) of a conductor is directly proportional to its length (I) for a constant area of cross-section.

∴ R α l (at constant temperature and cross-sectional area)

Activity 6

Question 6.
Show that the resistance of a conductor is inversely proportional to its cross sectional area.

Answer:

  1. Collect iron rods of equal lengths but different cross-section areas.
  2. Make a circuit leaving gap between P and Q as shown In figure
  3. Connect one of the rods between P and Q and measure the current using ammeter and note values.
  4. Repeat this with the other rods and note the corresponding values of current in each case and note them. :
  5. You will notice that the current flowing through the rod increases Increase In the cross-section area of the rod.
  6. Thus the resistance of the rod decreases with Increase in the cross-section area. From this, we conclude that the resistance (R) of a conductor is inversely proportional to its cross-section area (A)

∴ R α l A (at constant temperature and length of the conductor)

Activity 7

Question 7.
Conduct an activity to show that potential difference of combination of resistors, connected in series, is equal to sum of the P.D.S of individual resistors.

Answer:

  1. Connect three bulbs which act as resistors in series, with a battery, ammeter and a plug key.
  2. Now connect a voltmeter In the circuit across AB, close the key and note the voltage (V) across the series combination of resistors. Note the reading As V.
  3. Similarly connect the voltmeter across the resistors, one at a time and measure the voltage across them as V1, V2,and V3.
  4. You will find that V=V1+V2+ V3

5. From this we conclude that “the potential difference across a combination of resistors, connected In serles, is equal to the sum of the voltages across the individual resistors”.

Question 8.
Prove that the current drawn from the battery Is equal to the sum of Individual currents drawn by the resistor, when they are connected in parrallel, with an activity.

Answer:

  1. Connect three bulbs which act as resistors in parallel combination (see figure).
  2. To this combination connect a cell ammeter and a plug key.
  3. Close the key and note the ammeter reading, This gives the current ‘1’ In the circuit.
  4. Now connect the ammeter in the branch of the circuit that has R, and note the reading. This gives the current I1 through the branch.
  5. Similarly, place the ammeter in the branches containing R2 and R3 and measure the currents I2, and I3 respectively.
  6. You will find that the current ‘I’ gets divided into the branches such that I= I1+ I2 + I3
  7. From this activity, we conclude that “The total Current flowing Into the parallel combination is equal to the sum of the currents passing through the individual resistors.”

Important Question

TS 10th Class Physical Science Important Questions Chapter 9 Electric Current
1 Mark Questions

Question 1.
Give reason, why metals conduct electric charge easily?

Answer:
Because metals possess a large number of free electrons.

Question 2.
How is an ampere related to a coulomb? (ASL)

Answer:
1 amp = 1C/1sec

Question 3.
What is the name of physical quantity which is equal to V/I?

Answer:
Electrical resistance.

Question 4.
How is one - 1 ohm related to ampere and volt?

Answer:
1 ohm= 1 volt/1 ampere

Question 5.
Which material is the best conductor?

Answer:
Silver.

Question 6.
Resistance of an incandescent filament of a lamp is more than that when it is at the room temperature. Why?

Answer:
Because resistance of metallic wire increases with increase in temperature.

Question 7.
What is the shape of V - I graph for a metallic wire?

Answer:
A straight line passing through origin.


Question 8.
When resistances are connected in series which physical quantity remains unchanged?

Answer:
Current.

Question 9.
When resistances are connected In parallel which physical quantity remains unchanged?

Answer:
Voltage.

Question 10.
The length of a wire is doubled and its cross-sectional area Is also doubled. What is the change ¡n its resistivity?

Answer:
There Is no change In resistivity. When the length of the wire is doubled, its resistivity also double. But when the cross-sectFonal areas is doubled, Its resistivity becomes half of the double. So there is no charge.

Question 11.
What happens to resistance when lengths of a conductor is doubled without affecting the thickness of conductor?

Answer:
Resistance is doubled because R∝ l.
R1/R2=l1/l2⇒R/R2=l/2l,R/R2=1/2⇒R2=2R

Question 12.
A battery of 6V is applied across a resistance of 15c. Find the Current flowing through the circuit.

Answer:
Current I = VR, I = 615 = 0.4 amp

Question 13.
How is power related to current and voltage?

Answer:
Power (P) = Potential difference (V) x Current (I).

Question 14.
How can we measure potential difference or emf?

Answer:
With the help of a voltmeter, we measure potential difference or emf.

Question 15.
What is a conductor of electricity?

Answer:
The material which transfers energy from battery (source) to the bulb is called a conductor A conductor possesses large number of free electrons. Eq: All metals.

Question 16.
What is a non-conductor?

Answer:
The material which cannot transfer energy from battery (source) to the bulb is called a non-conductor Electrons in a non-conductor are not free to move.

Question 17.
Which instrument is used to measure electric current? (AS1)

Answer:
An ammeter is used to measure electric current in a circuit. It is always connected In series to the circuit.

Question 18.
Define potential difference and give an expression to It.

Answer:
Electric potential difference between two points in an electric circuit is the work done to move a unit positive charge from one point to another.
Potential difference v = W/q
The S.I. unit of potential difference is ‘Volt’ and denoted by ‘v’

Question 19.
State Ohm’s law.

Answer:
Ohm’s law: The potential difference between the ends of a conductor is directly proportional to the electric current passing through it at constant temperature.
V ∝ I ⇒ V/I = R

Question 20.
What are the limitations of Ohm’s law?

Answer:
Limitations of Ohm’s law:
Ohm’s law is valid for metal conductors, provided the temperature and other physical conditions remain constant,
Ohm’s law is not applicable to gaseous conductors.
Ohm’s law Is also not applicable to semiconductors such as Germanium and Silicon.

Question 21.
What is a resistor?

Answer:
The material which offers resistance to the motion of electrons is called resistor.

Question 22.
What are the uses of semiconductors?

Answer:
Semiconductors are used to make diodes, transistors, and integrated circuits (ICs). Ic’s are used in all sorts of electronic devices, including computers, TV., mobile phones.. etc.

Question 23.
Draw the electric circuit with the help of a Battery, Voltmeter, Ammeter, Resistance and connecting wires.

Answer:

Question 24.
What do you mean by one ‘unit’ in household consumption of electrical energy?

Answer:
One unit in household consumption of electrical energy is equal to 1 KWH (Kilo Watt Hour)
1 KWH 1000 W x 1 Hour
(1000)W x (60 x 60) sec
1000 J/s x 3600 sec = 36 x 10 Joules.

Question 25.
When do you say that two or more resistors are connected in series?

Answer:
Two or more resistors are said to be connected In series If the same current flows through them.

Question 26.
When do you say that two or more resistors are connected in parallel?

Answer:
Two or more resistors are said to be connected In parallel if the same potential difference exists across them.

Question 27.
What is lattice?

Answer:
According to Drude and Lorentz, conductors like metals contain a large number of free electrons, while the positive ions are fixed in their locations. The arrangement of the positive ions Is called lattice.

Question 28.
Why do electrons move in specified direction when the conductor is connected to a battery?

Answer:
When the ends of the conductor are connected to the terminals of a battery, a uniform electrical field is set up throughout the conductor. This field makes the electrons move in a specified direction.

Question 29.
Which instrument is used to measure potential difference or CML?

Answer:
A volt meter Is used to measure potential difference or emf across an electric device like battery. It must be connected parallel to the electric device.

Question 30.
What is drift speed of electrons?

Answer:
The electrons in a conductor move with constant average speed, known as drift speed or drift velocity.

Question 31.
Is the voltmeter connected in series or parallel In circuit? Why?

Answer:
Voltmeter should be connected parallel in the circuit to measure the potential difference between two points of conductor.

Question 32.
State the use of Ammeter? How to connect the Ammeter in electric circuit?

Answer:
Ammeter is used to measure electric current In a circuit. It should be connected in series in a circuit.

Question 33.
The home appliances like Fridge, T.V, Computer are connected In series or parallel? Why?

Answer:
They are connected in parallel because If any one device is damaged rest will work as usual because the circuit does not break.

Question 34.
Why are copper wires used as connecting wires?

Answer:
Copper is a good conductor of electricity so copper wires are used as connecting wires.

Question 35.
Name two special characteristics of fuse wire.

Answer:
High resistivity and low melting point.

Question 36.
Name two special characteristics of heating coil.

Answer:
High resistivity and high melting point.

Question 37.
What is Resistance? What are the SI Units of Resistance?

Answer:
Resistance of a conductor is defined as the obstruction to the motion of the electrons In a conductor. It’s S.I unit is Ohm.

Question 38.
What happens if we use a fuse made up of same wire which is used to make the electric circuit?

Answer:
The fuse made of same wire cannot gets heated up and melts due its low resistance when excess current is drawn from the mains. Due to this, the electrical appliances In the house wiii be damaged.

2 Marks Questions

Question 1.
Give reasons for using lead in making fuses.

Answer:
Let’s used in making fuses because it has low melting point E.,, resistivity.
If the current in the lead wire exceeds certain value the wire will heat up and melt, so the circuit in the households, opened and ail the electric devices are saved.

Question 2.
Define electric current and give an expression to It.

Answer:
Electric current is defined as the amount of charge crossing any cross-section of the conductor in one second.
Let Q be the charge crossing any cross-section of the conductor In time ‘t’.
∴ Electric current =
I = Q/t
The SI unit of current ¡s ‘ampere’ denoted by ‘A’.

Question 3.
What is drift speed?

Answer:
Electrons in the conductor move w,th a constant average speed, which is known as drift speed or drift velocity.
Drift velocity V = 1/nqA
Where, I = Electric current
n = number of charges
q = magnitude of electric charge
A = Area of cross-section of the conductor

Question 4.
Define emf.

Answer:
Electromotive force or emf is defined as the work done by the chemical force to move unit positive charge from negative terminal to positive terminal of the battery.
emf ε = W/q=Fe/dq
Where Fe is electric force
d is the distance between the terminals
q is the charge
The S.l unit of emf is ‘Volt’.

Question 5.
What are the factors affecting the resistance of a material?

Answer:
The value of resistance of a conductor depends on temperature for constant potential difference.
Resistance of a conductor depends on the material of the conductor.
Resistance of a conductor is directly proportional to its length i.e., R ∝ l
Resistance of a conductor is inversely proportional to the area of cross-section of the material. i.e., R∝ l/A

Question 6.
Find the resistance of a bulb, on which 60W and 1.20 V is marked.

Answer:
60w, V= 120 V
We know P=VI ⇒ V2/R
⇒ R = V2/R=120×120/60 = 240 Ω

Question 7.
Write any two differences between ohmic and non-ohmic conductors.

Answer:

Ohmic conductors Non-ohmic conductors
1) Ohmic conductors follow the ohm’s law 1) Non-ohmic conductors do not follow the ohm’s law
2) Ohmic conductors are electric conductors. 2) Non-ohmic conductors are semiconductors.
3) V-I graph of ohmic conductors is a straight line is a curve.  3) V-I graph of non-ohmic conductors
Question 8.
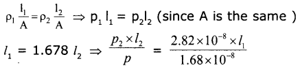
Two wires have equal area of cross-section. One Is copper and other Is Aluminium have the same resistance. Find which one Is longer.

Answer:
Suppose the resistance of copper and aluminum, wires are R1 and R2, Suppose their area of cross section is A
The resistivity of copper (P1) = 1.68 x 10-8
The resistivity of aluminum. (P2) = 2.82 x 10-8
Given that R1 = R2

Length of copper wire 1.678 times more than length of aluminum wire.

Question 9.
Define Ohmic and non-ohmic conductors and give two examples each of them.

Answer:
Ohmic conductors: The conductors which does not obey Ohm’s law are called non-ohmic conductors. e.g.: Semiconductors, Electrolytes.

Question 10.
Three equal resistances are connected in series then in parallel. What will be the ratio of their resultant resistances?

Answer:
Suppose the resistance of equal resistors is ‘R’. Suppose they are connected in series.
Then their equivalent resistance R1 = R + R + R = 3R
If they are connected in parallel their equivalent resistance.
From 1/R11=1/R+1/R+1/R=3/R
1/R11=3/R⇒R11=R/3
Ratio of resultant resistances = R1 : R11= 3R:R/3 = 9 : 1

Question 11.
Write differences between overloading and short-circuiting.

Answer:
Currently chooses the path which has least resistance. So when electricity travels along a wrong route because of damaged wires or a fault in the connections, it leads to burn. This is known as short circuit.
When so many electrical appliances are connected to the same electrical main point then maximum current can be drawn from the mains which causes overheating and may cause a fire which is called ‘overloading’.

4 Marks Questions

Question 1.
A circuit Is shown in the picture. 200 c ° The current passing through A Is I
a) What is the potential difference between A and B?
b) What is the equivalent resistance between A and B?
c) What amount of current is flown through C and D?

Answer:
a) According to Kirchhoff’s loop law the algebraic sum of increase and decrease In p.d across various components of the circuit In a closed circuit loop must be zero. So the p.d across CD is zero because it is a closed loop.
b) Here 20Ω, 5Ω are parallel to each other and resultants are In series to each other. Resultant resistance of 20Ω and 5Ω.
When they are connected in parallel is 1/R’=1/20+1/5=1+4/20=5/20=1/4
1/R’=1/4⇒R=4Ω
(c) VA - VD = VA - VC, So
5I - 5i = 20i ⇒ 20i+5i ⇒ 5I = 25i ⇒ i = 5I/25=1/5
Current through CD = I - 2i = I - 2I/5=3/5 I Amp

Question 2.
Observe the picture. The potential values at A, B, C are 70V, 0V, 10V
a) What is the potential at D?
b) Find the ratio of the flow of B current in AD, DB, DC.

Answer:
a) By following Ohm’s law. p.d Is (V) = iR
In the given circuit we are applying junction laws.
‘D’ works as a junction so, i = i1 +i2
Let p.d at D is V0.
We know that i = V/R


By the law i = i1 +i2

∴ Potential at D is = V0 = 40 V
b)Flow of current in AD is i= V/R=VA?V0/R=70?40/10=30/10=3
(∴ Here VA =70, V0=40, R=10)
Flow of current in DB is i1 = V0?VB/R1=40?0/20=40/20=2
(∴ Here V0=40, VB=0, R1 = 20)
Flow of current in DC is i2 = V0?VC/R2=40?10/30=30/30=1
(∴ Here V0=40, VC=0, R2 = 30)
The ratio of the flow of current In AD, DB, and Dc is 3:2:1.s

Question 3.
In a circuit, 60V battery, three resistances R1 = 10Ω, R2 = 20Ω and R3 = X Ω are connected In series. If 1-ampere current flows in the circuit, find the resistance in R3 by using Kirchhoff’s loop law.

Answer:
According to Loop law,
60-101- 201-XI=0
substituting I = 1 Amp, In the above equation, R
60 - 10 - 20 - x - 0
x = 30 Ω
∴ R3 =30 Ω


Another method:
R1 = 10 Ω, R2 = 20 Ω, R3 = X Ω
As they are connected in series, the resultant
ResistantR = R1 + R2+ R3
= 10 Ω + 20 Ω +X Ω
= 30 Ω + X Ω
I = 1 Amp, V = 60v
According to Ohm’s law,
V=IR
60 V = I x (30 + XΩ)
60 V = 30 +XΩ
x = 60- 30
X = 30
∴ R3 = 30Ω

Question 4.
A circuit is made with a copper wire as shown in the diagram. We know that conductor’s resistance is directly proportional to its length. Calculate the equivalent resistance between points 1 and 2.

Answer:
Let the resistance of the wire be ‘R’ and length of the wire be l.
Let the length be ‘l’
In a square diagonal is √2 times its length = √2l
Resistance towards diagonal is √2R.

The circuit diagrams for the given arrangement is along PTR and QTS Is ineffective as no current flow through it.
PQ and PS are in series so effective resistance are R1+ R2 = R + R = 2R.
QR and SR are In series so effective resistance are R1 + R3 = R + R = 2R.
Redrawn of the circuit again as resultant resistance between the points 1 and 2 is


Question 5.
Derive an expression to find drift velocity of electrons.

Answer:
1. Consider a conductor with cross-sectional area A. Assume that the two ends of the conductor are connected to a battery to make the current flow through it.

2. Let ‘Vd’ be the drift speed of the charges and ‘n’ be the number of charges present in the conductor in an unit volume.
3. The distance covered by cacti charge in one second is ‘Vd’
4. Then the volume of the conductor for this distance. A’Vd‘
5. The number of charges contained in that volume = n. A’Vd’
6. Let q be the charge of each carrier.
7. Then the total charge crossing the cross-sectional area at position D in one-second in q Avd’.
This is equal to electric current.
Electric current I = n q Avd.
Drift velocity (Vd) = 1/nqA

Question 6.
Show that the semiconductors do not obey Ohm’s law.

Answer:
1. Connect a circuit as shown n the figure.

2. Close the circuit and note the readings of ammeter (I) and voltmeter (V) tri the following table.

Potential difference (V) Current (I)V/I
3. Now connect two cells Instead of one cell in circuit.
4. Now note the respective readings of ammeter and voltmeter.
5. Repeat the same for 3, 4, and 5 cells.
6. Find the ratio of every time.
7. We find that the ratio Is not constant.
8. Draw a graph between V and I. You will get a graph as shown below.
9. This shows the semiconductors (LED is a semiconductor) do not obey Ohm’s law.


Question 7.
Deduce an expression to measure electric power.

Answer:
1. Consider that a charge (Q) Coulomb passes through a point A, moves to print B in the time interval ‘t’ seconds.

2. Let V be the potential difference between the points A and B.
3. The work done by electric field in time ‘t’ is given by W = QV ........ (1)
4. The work is equal to the energy lost by the charge while passing through the conductor for time T.
5. Energy lost by the conductor in 1 sec = W/t
From (1) W/t = QV/t ......... (2)
We know, Q/t = I and W/t = P (power)
Then(2) ⇒P =VI ............ (3)
This equation can be used to calculate power consumption by any electric device that is connected in a circuit.
From Ohm’s law V = I R
(3) ⇒ P = I2 R. (or) V2/R ......... (4)
6. To know the power that can be extracted from a battery or any source can be calculated by P = εJ.
Whose ε the is the emf of the battery or source.

Question 8.
Find the resultant resistance for the following given arrangement. Find the current, when this arrangement Is connected with 9V battery.

Answer:

From the above circuit, all the resistors are in parallel combination
∴ 1/R=1/R1+1/R2+1/R3
Hence R1= R2=R3 = 3W
∴ 1/R=1/3+1/3+1/3
1/R=3(1/3)=1
∴ R = 1 W
Current given V = 9V
∴ i =V/R=9/1 = 9A

Question 9.
Observe the circuit given. R1 = R2 = R3 = 200 Ω.
Then find out the electromotive force E of battery.

Answer:
Voltmeter reading V= 100 V, Voltmeter resistance = 1000
Current i1 = V/R=100/1000 = 0.1 Amperes

Considering ABDA, applying Kirchoff’s voltage law, R,
1000i1 + 200i = 2E
1000 x 0.1 + 200i = 2E
100+200i =2E ........... (1)
Considering BCDB, applying Kirchofr’s voltage law,
(i-i1)200 + 200( i-i1)-1000 x i1=0


Question 10.
The electric circuit is shown in the figure. Find out the equivalent resistance between A and B?

Answer:
The first three resistors are in parallel.

1/Reff=1/R+1/R+1/R=3/R
Ref = R/3
Again R/3 and R are connected in series.

Ref = R1+R2 = R/3+R=4R/3


Question 11.
Sudhakar has taken a substance in the form of wire. He applied different voltages to the wire and measured electrical currents. For this he used Ammeter and Voltmeter. He tabulated five measurements. Then plotted a graph as shown in the figure. In the graph he measured voltages in volts (V) and current (I) in Amperes.
Answer the following
a) What type of mater lai Sudhakar selected for his experiment?
b) What is the resistance of the substance?
c) If potential difference is 20 Vat the ends of wire. How much electrical power is utilized by wire?
d) What is the law associated with the above graph?

Answer:
a) The graph is a straight line passing through origin. it is in the form of y = mx i.e., I mv. Here ‘m’ is slope of the graph.
Here m =
∴ I = (1R)V
The substance is Ohmic substance i.e., obeying Ohm’s law. So it Is a metal like iron spoke, (or) Copper, Aluminium etc.
b) The resistance can be known from graph is
V = IR; R = V/I=10/0×2=100/2 = 30 Ω
The reciprocal of slope of graph gives Resistance.
c) The electrical power can be measured by taking the area of graph i.e., area enclosed between the straight line and X - axis
Power (P) = Voltage x Current = V I
Area = Area of tnangle = 1/2 x 20 x 0.4 = 4 Watts
d) Ohm’s Law: The potential difference between the ends of a conductor is directly proportional to the electric current passing through It at constant temperature.

Question 12.
Your friend needs 10 ohms resistance. He came to you and asked, but you have 40 ohms resistance.
i) How many resistors your friend will ask you?
ii) How the resistors which are taken are connected
iii) Show that their effective resistance is lo ohms.

Answer:
i) A minimum of four resistors are required.
ii) They should be connected In parallel.
iii) When the resistors are connected in parallel, the equivalent resistance is given


Question 13.
12 V battery is connected in a circuit and to this 4Ω, 12Ω resistors are connected in parallel, 3Ω resistor is connected in series to this arrangement. Draw the electric circuit from this information and find the current in the circuit.

Answer:
The resultant resistance of 4Ω, 12Ω, connected in parallel is


The total resistance in the circuit is
R = R1 +R2 = 3 + 3 = 6
∴ R = 6Ω
The current in the circuit
I = VR⇒I=126
∴ I = 2A

Question 14.
Draw the shape of V - I graph for a conductor and a semiconductor.

Answer:

Question 15.
Draw the symbols of the following.
i) Battery
ii) Resistance
iii) Ammeter
iv) Voltmeter
v) Key
vi) Rheostat

Answer:

Solved Example

Question 1.
Find electric current drawn (figure) from the battery of emf 12V.

Answer:
Let I = I1+I2 be the current drawn from emf 12V.
From the figure.
Using the loop law, for the loop DABCD,
- 3(I1 + I2) + 12 - 2I1 - 5 = 0 .......... (a)
for the loop DAFED,.
- 3(I1 + I2) + 12 - 4I2 = O ........ (b)
Solving the equation (a) & (b)
We get I1 = 0.5 A and I2= 1.5A
Total current drawn Is then I = 0.5 + 1.5 = 2A B

Do You Know
A multimeter is an electric measuring instrument that combines several measurement functions in one unit. A digital multimeter displays the measured value in numerals.
A multi-meter has three parts.

Display: The display usually has four digits and the ability to display a negative sign.
Selection knob: The selection knob allows the user to set the multimeter to read different functions such as milliamps (mA) of current, voltage (V), and resistance (Ω).
Ports: Multi-meters generally have two ports. One is usually labeled as ‘COM’ (common or ground port). This is where black test lead is connected. The other is labeled as mAVΩ port where the red lead is conventionally plugged in.
Warning: Most multimeters can measure AC quantities also, but AC circuits can be dangerous. So measure DC quantities only. (Page 188)

Question Papers / Notes Download


Videos


Join
Intermediate
-