TS 10th Class Physical Science Important Questions Chapter 5 Human Eye and Colourful World
1 Mark Questions
Question 1.
What is the range of vision of a normal human eye?
Answer:
25 cm to infinity.
Question 2.
What is angle of vision?
Answer:
The maximum angle, at which we can see the whole object is called angle of vision.
Question 3.
What is cornea?
Answer:
The front curved portion of eye, which covered by a transparent protective membrane is called the cornea.
Question 4.
What Is "Iris" and "Pupil"
Answer:
IrIs: The part between the aqueous humour and the lens having muscular diaphragm is called ‘Iris’.
Pupil: It is the name of the small hole In ‘Pupil.
Question 5.
What are three common defects of vision? (ASI)
Answer:
The common defects of vision are i) Myopia ii) Hypermetropia iii) Presbyopia
Question 6.
What is the purpose of human eye?
Answer:
It uses to see and perceive of the objects around us.
Question 7.
Why do stars twinkle? (AS 1)
Answer:
Due to change in atmosphere conditions, density changes so position keeps on changing.
Question 8.
What Is "lens"? (ASL)
Answer:
It is an optical system (material) with two refracting spherical surfaces.
Question 9.
Why is normal eye not able to see clearly the objects placed closer than 25cm?
Answer:
The focal length of eye lens cannot decrease below 25 cm.
Question 10.
State the colour of sunlight scattered by aIr molecules in the atmosphere.
Answer:
Blue colour.
Question 11.
What is the relation between power of lens and focal length (f) ?
Answer:
Power of lens (concave/convex)
P = 1/f( inmt ) (or) 100/f( incm )
Question 12.
On which factor does the colour of the scattered white light depend?
Answer:
Angle of scattering
Distance travelled by light
Size of the molecules
Question 13.
What is "Dloptre"?
Answer:
It is the ST unit of power.
Question 14.
What Is "Retina"?
Answer:
The image is formed on the retina which Is the internal part of eye. It Is retained.
Question 15.
What do you mean by least distance of distinct vision? What Is Its value?
Answer:
To see an object comfortably and distinctly, one must hold at a distance of about 25 cm from his/her eyes. This distance is called least distance of distinct vision.
Question 16.
What is the angle of vision? (AS1)
Answer:
The maximum angle at which we are able to see the whole object is called angle of vision. The angle of vision for a healthy human being is about 600.
Question 17.
Which part of the eye acts as variable aperture for entry of light into the eye?
Answer:
The ‘Iris’ enables ‘pupil’ to act as a variable aperture for entry of light Into the eye, by helping the ‘pupil’ to expand In low light conditions and contract in bright light conditions.
Question 18.
What is the role of rods and cones in the human eye?
Answer:
Retina contains about 125 million receptors called rods and cones. Rods identify the colour and cones identify the intensity of light.
Question 19.
What do you mean by ‘accommodation of eye lens’?
Answer:
The ability of eye lens to change its focal length and It is called accommodation of lens.
Question 20.
What Is myopia? How is it corrected?
Answer:
Some people cannot see objects at long distances but can see nearby objects clearly. This type of defect in vIsion Is called ‘Myopia’ or near sightedness’. This can be corrected by using a concave lens of suitable focal length.
Question 21.
What is ‘far point’?
Answer:
The point of maximum distance at which the eye lens can form an image on the retina ¡s called ‘far point’.
Question 22.
What is hypermetropla ? How Is It corrected?
Answer:
A person with hypermetropia can see distant objects clearly but cannot see objects at near distances. This is also known as ‘far sightedness This can be corrected by using a convex lens of suitable focal length.
Question 23.
What is near point?
Answer:
The point of minimum distance at which the eye lens can form an image on the retina is called near point.
Question 24.
What is presbyopia?
Answer:
Presbyopia is vision defect when the ability of accommodation of the eye usually decreases with age.
Question 25.
What Is power of lens? What are its units?
Answer:
The degree of convergence or divergence of light rays that can be achieved by lens Is expressed in terms of its power.
The reciprocal of focal length is called power of lens.
Power of lens P = 1/f( in m) or P = 100/f( in cm )c
The unit of power of lens is dioptre, denoted by ‘D’.
Question 26.
What Is dispersion?
Answer:
The splitting of white light into different colours Is called dispersion.
Question 27.
Definelntensityof light.
Answer:
The intensity of light is the energy of light passing through unit area of plane, taken normal to the direction of propagation of light, In one second.
Question 28.
What is the scattering of light?
Answer:
The process of re-emission of absorbed light in all directions with different intensities by atoms or molecules Is called scattering of light.
Question 29.
When we look at the sky in a direction perpendicular to the direction of the sun rays, what will be the colour of the sky?
Answer:
When we look at the sky in a direction perpendicular to the direction of the sun rays, the sky appears to be blue in colour.
Question 30.
Why street lights are designed to give yellow color light? (AS1)
Answer:
The sensitivity of human eye varies with frequency (colour) for the same brightness of different colours. Our eyes have maximum sensitivity (response) to yellow coiour so the street lights are yellow.
Question 31.
Why do a normal eye not able to see clearly the objects placed closer than 25 cm?
Answer:
The maximum accommodation of a normal eye Is at a distance of 25 cm from the eye. The focal length of the eye lens cannot be decreased below this. Thus an object placed closer than 25 cm cannot be seen clearly by a normal eye.
Question 32.
Have you seen a rainbow in the sky after rain? How it has formed?
(or)
In which conditions does a rainbow form? Why?
Answer:
A rainbow Is a natural spectrum of sunlight in the form of bows appearing in the sky when the sun shines on raindrops after the rain.
It is formed due to reflection, refraction and dispersion of sunlight by tiny water droplets present in the atmosphere.
Question 33.
Does rainbow form always opposite to sun? Why?
Answer:
Yes. A rainbow is always formed in the opposite direction of the sun. As the sun rays should fall on rain drops It happens so.
Question 34.
"To look at the twinkling of stars Is a wonderful experience". How It’s happening?
Answer:
The continuously changing atmosphere (due to varying atmospheric temperature and density) refracts the light from the stars by varying amounts and in different directions from one moment to the next.
Question 35.
Write the reason for Sun appears red during the Sun-rise and Sun-set.
Answer:
Due to the high velocity (wavelength) of red right, It reaches our eye without undergoing any scattering. So, sun appears red during sunrise and sunset.
Question 36.
"Sky appears dark to passengers flying at very high altitudes" why?
Answer:
At very high altitudes, there is no atmosphere. So there is no scattering of light at such heights. So sky appears dark to passengers.
Question 37.
A short-sighted person may read a book without spectacles.
Answer:
The statement is true, because a short-sighted person has difficulty in observing far-off objects.
Question 38.
Why are danger signals red?
Answer:
Among the colours of visible light, red has more wavelength and least scattered. Thus, red colour can easily go through fog or mist or smoke without getting scattered. It can be seen from long distance. So red colour Is used in universal danger signal.
Question 39.
"Smoke coming out of coal-fired in chimney appears blue on a misty day". Why?
Answer:
On a misty day, the air has large amount of tiny particles of water droplets, dust and smoke.
These tiny particles present In the air scatter blue colour of the white light passing through It.
When this scattered blue light reaches our eyes the smoke appears blue.
Question 40.
Give two more examples, which appear blue on a misty day.
Answer:
The long-distance hills covered with thick growth of trees appear blue.
The smoke coming from a cigarette oran Incense stick (agarbatti) appears blue on a misty day.
Question 41.
"Motorist uses orange light on a foggy day rather than normal white light". Why?
Answer:
On a foggy day, the air has large amount of water droplets.
If a motorist uses white light, the water droplets present in the air scatter large amount of the blue light.
This on reaching our eyes decreases visibility and hence driving becomes extremely difficult.
Whereas orange light has longer wavelength and hence it is least scattered.
Question 42.
Which coloured suits do rescue workers wear?
Answer:
Rescue workers wear orange coloured suits during any rescue operations.
Question 43.
Which colour is best for school buses?
Answer:
Orange or yellow colour is best for school buses.
Question 44.
What Is persistence of vision?
Answer:
The time for which the sensation of vision (of an object) continues in the eye is called persistence of vision. It is about 1/ 16th part of a second.
Question 45.
Why do some people can’t IdentIfy some colours?
Answer:
Rods identify the colours In the retina. If some rods are absent, the distinction of colours is not possible. In such cases, persons can’t identify some colours.
Question 46.
Write the reasons for colour blindness.
Answer:
Absence of colour-responding rod cells in the retina.
Due to genetic disorder.
Question 47.
Why does It take some times to see objects In a dim room when we enter the room from bright sunlight outside?
Answer:
In bright light the size of the pupil Is small to control the amount of light entering the eye. When we enter a dim room, it takes sometime so that the pupil expands and allows more light to enter and helps us to see things clearly.
Question 48.
Doctor advised to use 20 lens. What is the focal length of It?
Answer:
Given, power of lens (P) = 2D ⇒ f = ?
We know P = 100/f( incm )⇒2=100/f⇒f=100/2 = 50 cm
∴Focal length of lens (f) = 50 cm
Question 49.
What Tyndall effect?
Answer:
The Penonienon of scattering of white light by colloidal particles is known as "Tyndall effect".
Question 50.
Give two examples illustrating "Tyndall effect".
Answer:
A fine beam of sunlight entering a smoke filed room through a hole Smoke particles scatter the white light and hence the path of light beam becomes visible.
Sunlight passing through trie trees In forest.
tiny water droplets through the trees in forest.
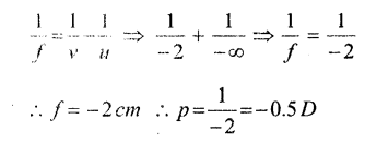
Question 51.
A short-sighted person cannot see clearly beyond 2m. Calculate the power of lens required to correct his vision.
Answer:
image distance, v = -2 m, u = ∞

Question 52.
We see advertisements for eye donation on television o In newspaper. Write the importance of such advertisements.
Answer:
eye donation advertisements are important as
The peoole are aware about donation of organs after the,r death.
Sympathetic nature towards others.
Question 53.
An eye donation camp is being organised by social workers in your locality. How and why would you help in this cause?
Answer:
We can intimate other people to participate in the camp.
As a human being we should also register our eyes for donation after death.
Question 54.
Vhicn colour of light bends the most and the least?
Answer:
colour ends the least and violet bends more.
Question 55.
An eye camp was organised by the doctors in a village. What were the benefits to organise such camps iii rural areas?
Answer:
To make people aware of eye diseases
To suggest them to take proper and balanced diet that helps to keep their eyes healthy.
Question 56.
Will a star appear to twinkle if seen from free space?
Answer:
No, because there is no atmosphere In free space for refraction.
Question 57.
Write the relation between Intensity of scattered light (1) and wavelength (λ)?
Answer:
Light of short wavelength is scattered more than the light of long wavelength.
Question 58.
Why sky would have looked dark If the earth had no atmosphere?
Answer:
If the earth had no atmosphere, no particles are present either. Thus no scattering of light. Then, the sky appears dark.
Question 59.
What Is the essential condition for observing a rainbow? (AS1)
Answer:
The sun must be on the backside of the observer.
The sun rays should fall obliquely on raindrops.
Question 60.
Describe a triangular prism.
Answer:
A prism is a transparent medium separated from the surrounding medium by at least two plane surfaces which are Inclined at a certain angle In such a way that, light incident on one of the plane surfaces emerges from the other plane surface.
A triangular prism contains two triangular bases and three rectangular plane lateral surfaces. These lateral surfaces are Inclined to each other.
Question 61.
Define the following terms with respect to a prism.
(a) Incident ray
(b) Normal
(c) Angle of incidence
(d) Emergent ray
(e) Angle of emergence
(f) Angle of the prism
(g) Angle of deviation (d).
Answer:
(a) Let us consider that ?PQR represents p outline of the prism where It rests on Its triangular base.
(b) Let us assume that a light ray is incident on the plane surface PQ of a prism at M. This ray is called incident ray. Draw a perpendicular to PQ at M. It becomes a normal to that surface.
(c) The angle between incident ray and normal Is called angle of Incidence (I).
(d) The ray Is refracted at M. It moves through prism and meets the other plane surface at N and finally comes out of the prism. The ray which comes out of the surface PR at N is called emergent ray.
(e) Draw a perpendicular to PR at point N. The angle between the emergent ray and normal Is called angle of emergence (i2).
(f) The angle between the plane surfaces PQ and PR Is called the angle of the prism or refracting angle of prism (A).
(g) The angle between the Incident ray and emergent ray formed by producing them backwards is called angle of deviation (d).
Question 62.
When a single colour ray has been sent through a prism, does It split into more colours? Why?
Answer:
We know that the frequency of light is the property of the source and it is equal to number of waves leaving the source per second. This cannot be changed by any medium. Hence frequency doesn’t change due to refraction. Thus coloured light passing through any transparent medium retains its colour.
Question 63.
What happens to the Image distance in the eye when we increase the distance of an object from the eye?
Answer:
In the eye, the image distance (distance between eye lens and retina) is fixed and cannot be changed. So when we Increase the distance of an object, there is no change in the image distance.
Question 64.
A rainbow viewed from an airplane may form a complete circle. Where will the shadow of the airplane appear? Explain.
Answer:
A rainbow viewed from an airplane forms a complete circle because the earth does not come along the way of the airplane and rainbow. A rainbow is a three-dimensional cone of dispersed light and it appears as a complete circle. The shadow of the airplane appears within the circle of the rainbow.
Question 65.
When a monochromatic light passes through a prism will it show dispersion?
Answer:
No, it will not show any dispersion but shows deviation.
Question 66.
Why do we use lenses In spectacles to correct defects of vision?
Answer:
The process of adjusting focal length is called "accommodation’. This process has to be done by eye itself. Sometimes the eye may gradually lose its power of accommodation. In such condition, the person will not be able to see the object clearly and comfortably. In this situation, we have to use lenses In
spectacles to correct defects of vision.
Question 67.
What happens If the eye lens of a person cannot accommodate its focal length more than 2.4 cm?
Answer:
The person cannot be able to see the distant objects clearly.
2 Marks Questions
Question 1.
Kishore wore spectacles. When you saw through his specs the size of his eyes seemed bigger than their original size?
a) Which lens did he use?
b) Explain that defect of vision (with the help of a diagram)
Answer:
a) When we saw through Kishore’s expects the size of his eyes seemed bigger than their original size. This Is possible with convex lens only, because magnification of the lens is greater than ‘I’.
b) The defects he suffers Is hypermetropia. This also called as farsightedness. A person who suffers with this type of defect, he can’t see the object clearly which are placed near distance because the image formed beyond the retina. So by using convex lens the rays can be converged on retina.
Question 2.
Define the words associated with prism with the help of figure.
Answer:
Angle of incidence The angle between incident ray and normal is called angle of incidence.
Angle of emergence The angle between normal and emergent ray ts called angle of emergence.
Normal: Perpendicular drawn to the surface of prism.
Angle of deviation: The angle between extended incident ray and emergent ray is called angle of deviation.
Question 3.
Two observers standing apart from one another do not see the same" rainbow. Explain.
Answer:
All the raindrops that disperse the light to form rainbow lie within a cone of semi vertical angle 400 to 420.
If two observers are standing at a distance apart, they will observe different parts of rainbow on the surface of the cone.
So the portion of the rainbow observed by an observer depends on the position of the observer.
Two different observers will form two different cones with the observer standing at the vertex of the cone, therefore rainbow seen by them will be different.
Question 4.
How do we see colours?
Answer:
The retina of human eye has a large number of receptors.
These receptors are of two types i.e., rods and cones.
The rod cells recognise the colour of light rays, while the cones Identify the intensity of light.
It is these rod cells, which make It possible for a man to see different colours and distinguish between them.
Question 5.
A prism with an angle A = 60° produces an angle of minimum deviation (D) of 30°. Find the refractive Index of material of the prism.
Answer:
Given, A = 60° and D= 30°
The refractive index of the given prism = ∠2
Question 6.
Give the differences between Myopia and Hypermetropia.
Answer:
| Myopia | Hypermetropia |
| 1. In short sightedness one can see nearby object but cannot see far off objects. |
1. In far sightedness one can see distant object but cannot see near by objects. |
| 2. Image is formed ¡n front of retina. | 2. Image is formed behind of retina. |
| 3. The size of eye bail increases. | 3. The size of eye bail decreases. |
| 4. Focal length of eye lens decreases. | 4. Focal length of eye lens increases |
| 5. Corrected by concave lens. | 5. Corrected by using convex lens. |
Question 7.
A convex lens of power 4 D is placed at a distance of 40 cm from a wall. At what distance from the lens should a candle be placed so that its image Is formed on the wall?
Answer:
f = 1/P=1/4D=1/4 m = 25 cm ; v = 40 cm; P = 4D; u = 40 cm.
∴1/v?1/u=1/f
⇒ 1/u=1/v?1/f=1/40?1/25=5?8/200=? 3/200
∴u = 3/200
So candle should be placed at a distance of, 200/3 cm from the lens.
Question 8.
What happens, If Ciliary muscles do not perform contraction and expansion? Guess and write.
Answer:
1) If Cillary musdes do not perform contraction and expansion, focal length of eye lens do not change.
2) Human eye can see the objects at specific distance only, eye cannot see the object either nearer or far distance.
4 Marks Questions
Question 1.
Find the minimum and maximum focal lengths of the eye lens.
Answer:
1. When the object is at infinity, the parallel rays from the object failing on the eye lens are refracted and they form a point-sized image on the retina.
2. In this situation, eye lens has a maximum focal length.
3. When the object is at infinity,
u = - ∞ v = 2.5 cm (distance between eye lens and retina)
Using lens formula 1/f=1/v?1/u⇒1/fmax=1/2.5+1/∞⇒1/fmax=1/2.5+0
1/fmax=1/2.5
∴fmax = 2.5 cm
4. Consider that an object is placed at a distance of 25 cm from your eye.
5. In this situation eye has minimum focal length.
Here u=-25cm,v= 2.5 cm
Using Lens formula, 1/f=1/v?1/u
6. If the position of an object is between infinity and the point of least distance of distinct vision, then the eye lens adjusts its focal length in between 2.5 cm to 2.27 cm to form a clear ¡mage on the retina.
Question 2.
What is scattering? Explain how a light scatters.
Answer:
Scattering: The process of re-emission of absorbed light in al! directions with different intensities by atoms or molecules Is called scattering of light.
Process of scattering:
Let us consider that the free atom or free molecule is somewhere In space.
Light of certain frequency falls on that atom or molecule.
This atom/molecule responds to light whenever the size of the atom/molecule is comparable to the wavelength of light.
If this condition is satisfied, the atom absorbs light and vibrates.
Due to this vibration, the atom re-emits a certain fraction of absorbed energy in all directions with different Intensities.
The re-emitted light is called scattered light and the process or re-emission of light in all directions with different intensity is called scattering of light.
The atoms/molecules are called scattering centre.
Question 3.
A prism causes dispersion of white light while a rectangular glass block does not. Explain.
Answer:
In a prism the refraction of light at the two plane surfaces.
The dispersion of white light occurs at the first surface of prism where Its constituent colours are deviated through different angles.
At the second surface, these split colours suffer only refraction and they get ‘further separated.
But in a rectangular glass block, the refraction of light takes place at the two parallel surfaces.
At the first surface, although the white light splits into its constituent colours on refractions, but they split colours on suffering refraction at the second surface emerge out in the form of a parallel beam, which give an impression of white light.
Question 4.
Why white tight splits Into different colours when It passes through a prism?
Answer:
The speed of light Is constant In vacuum for all colours, but It depends on the wavelength of light when It passes through a medium.
We know refractive Index of a medium depends on wavelength of light.
When white light passes through a medium, each colour selects Its least time path and we have refraction of different colours to different extents.
This results in separation of colours, producing a spectrum.
It has been experimentally found that refractive index decreases with an increase in wavelength.
In VIBGYOR, red colour has longest wavelength and violet colour has shortest wavelength. The refractive index of red Is low, hence It suffers low deviation.
Question 5.
A person unable to see distant objects. Show the defect of vision of the person with the help of ray diagram.
Answer:
1. His vision defect is Myopia.
2. Ray diagram :
Question 6.
Write the differences between a camera and the human eye?
Answer:
| Camera | Human eye |
| 1) A real and inverted image is formed on the photographic film, |
1) A real and inverted image Is formed on the retina. |
| 2) Image is formed by a convex lens made of glass. |
2) Image Is formed by the eye lens made of fibrous and jelly Iikè material |
| 3) Diaphragm controls the amount of light entering the camera. |
3) Pupil in the iris controls the amount of light entering the eye. |
| 4) Time of exposure is controlled by a shutter. | 4) Time of exposure is controlled by the eyelids. |
| 5) Focal length of camera lens is fixed. |
5) Focal length of eye lens can be changed with the help of ciliary muscles. |
| 6) The angular region covered is about 60°. |
6) The angular region covered is about 150°. |
Question 7.
Read the following Information.
‘Use a lens of - 2D for Kishore." The doctor said. By above statement what information you can give? Explain the eye defect and also how you will correct it?
Answer:
Negative sign indicates the lens is concave lens.
2D represents 2 dioptres focal power of the concave lens.
Kishore is suffering from eye problem
Focal power P= 1/f . f= 1/P = 1/2 =0.5m =50cm
Klshore able to see near objects and unable see distant objects.
He is suffering from MYOPIA (OR) short-sightedness.
The image of the object is falling Infront of the retina.
To correct this defect Kishore has to use a concave lens which can diverge the image exactly on retina.
Kishore has to use a concave lens of focal length 50 cm.
Question 8.
Draw the structure of human eye and explain Its parts.
Answer:

Question 9.
Study the diagram given below and answer the questions that follow.
a) Which defect of vision is represented in this case? Give reason for your answer.
b) What could be the two causes of this defect?
c) With the help of a diagram show how this defect can be corrected by the use of a suitable lens.
Answer:
a) This defect is hypermetropia. The reason is the image of near point is formed beyond retina.
b) The two causes of the defect are
Size of eyeball decreases.
Focal length of the lens increases.
c) This defect can be corrected by using a convex lens of suitable focal length.
Question 10.
Study the diagram given below and answer the questions that follow it.
a) Name the defect and give reason.
b) Give two causes for this defect.
c) Give the correction - draw diagram for the same.
Answer:
a) The defect is Myopia or short-sightedness.
b) It is caused due to the decrease in the focal length of the eye lens and increase in the size of the eye ball.
c) The defect can be corrected by using the concave lens.
Question 11.
An eye specialist suggested a+2D lens to the person with defect in vision. Which kind of defect in vision does he have? Draw the diagrams to show the defect of vision and its correction with a suitable lens.
Answer:
He is suffering from Hypermetropia. The light from a distant object among at the eye-lens gets converged at a point behind the retina. This type of defect is called Hypermetropia. To correct this, we interpose a convex lens between the eye and the object.
Question 12.
How will you calculate the focal length of a biconvex lens that ¡s used to correct the defect of Hypermetropia? Explain it mathematically.
Answer:
1. To find the focal length of lens let us consider that the object is at the point of least distance of distinct vision (L)
2. Then the defect of vision, Hypermetropla, Is corrected when the image of the object at L is formed at the near point (H) by using a biconvex lens as shown In the fig.
3. The image acts like an object for the eye lens. Hence final image due to eye is formed at retina.
Here object distance (u) = - 25cm
Image distance (v) = Distance of near point = - d
Let ‘f be the focal length of bi-convex lens.
Using lens formula, 1/f=1/V?1/u
1/f=1/?d+1/25
1f=d?25/25d
f = 25d/d?25 (f Is measured In cm)
So, by determining the near point of a person with hypermetropia eye, we can calculate the focal length of the biconvex lens to be used to correct the defect.