Solutions

Question 1.
How do you verify experimentally that the focal length of a convex lens is increased when it is kept in water?

Answer:
Aim: To prove that the focal length of a convex lens is increased when it is kept in water.
Apparatus: Convex lens of known focal length, circular lens holder, tall cylindrical glass tumbler, black stone, water.

Procedure:

  • Take a cylindrical glass tumbler whose height is much greater than the focal length of the lens and fill it with water.
  • Keep a black stone at the bottom of the vessel.
  • Now dip the lens Into water using circular lens holder such that it is at a distance which Is less than or equal to focal length of the lens in air.
  • Now see through the lens to have a view of the black stone.
  • Now increase the height of the lens till you are not able to see the stone’s image.
  • When the lens is dipped to a height which is greater than the focal length of lens in air, we are able to see the image. Showing that focal length of the lens has Increased in water.
  • From this we conclude that the focal length of a convex lens is increased when it Is kept In water.

Question 2.
How do you find the focal length of a lens experimentally?

Answer:

  • Take a v-stand and place it on a long table at the middle.
  • Place a convex lens on the v-stand. Imagine the principal axis of the lens.
  • Light a candle and ask your friend to take the candle far away from the lens along the principal axis.
  • Adjust a screen (a sheet of white paper placed perpendicular to the axis) which is on other side of the lens until you get an image on it.
  • Measure the distance of the image from the v-stand of lens (image distance v) and also measure the distance between the candie and stand of lens (object distance ‘u’). Record the values in the table.
Object Distance ‘u’ Image Distance ‘v’ Focal length ‘f’
     
  • Now place the candle at a distance of 60 cm from the lens, try to get an image of the candle flame on the other side on a screen. Adjust the screen till You get a clear image.
  • Measure the image distance ‘y’ and object distance ‘u’ and record the values in table.
  • Repeat the experiment for various object distances like 50 cm, 40cm, 30cm etc. Measure the image distances in all cases and note them in table.
  • Using the formula 1/f=1/v?1/u find f in all the cases. We will observe the value f’ is equal in all cases. This value of f is the focal length of the given lens.
Question 3.
Draw ray diagrams for the following positions and explain the nature and position of image.

(i) Object is placed at C2
(ii) Object is placed between F2and optic centre P.

Answer:

When an object is placed at the centre of curvature (C2) on the principal axis, we will get an Image at (C1) which is real, inverted and of the same size as that of the object.

If the object is placed between focus and optic centre, we will get an image which is virtual, erect and magnified.

Question 4.
Write the lens maker’s formula and explain the terms in it.

Answer:
Lens maker’s formula is = 1/f=(n?1)(1/R1?1/R2)

f = focal length of the lens
n = refractive index of the lens
R, and R2 are the radii of curvatures of two surfaces of the lens.

Application On Concepts

Question 1.
Two converging lenses are to be placed in the path of parallel rays so that the rays remain parallel after passing through both lenses. How should the lenses be arranged? Explain with a neat ray diagram.

Answer:

  • A parallel beam of light rays will converge on focal point of the lens.
  • light rays passing through focal point will emerge parallel to principal axis, the two lenses should be arranged as shown.
  • The two lenses are arranged on a common principal axis such that their focal point coincides with each other.
Question 2.
The focal length of a converging lens is 20cm. An object Is 60cm from the lens. Where will the image be formed and what kind of ¡mage is It?

Answer:
f = 20 cm (convex lens, f = + ve)
u = - 60 cm [object distance = - ve]
v = ?
Lens formula : 1/f=1/v?1/u⇒1/20=1/60+1/v=1/20?1/60⇒1/v=3?1/60=2/60=1/30
∴ v= 30 cm.
∴ The image distance is 30 cm.
f = 20 cm; hence, R = 40 cm, Object distance = 60 cm
∴ The object is placed beyond centre of curvature. Hence the image formed is real. inverted and diminished at 30 cm from the Lens.

Question 3.
A double convex lens has two surfaces of equal radii ‘R’ and refractive index n = 1.5. Find the focal length ‘f.

Answer:
n = 1.5
R1= R2= R
Lens maker’s formula for convex lens : 1/f=(n?1)(1/R1?1/R2)
= 1/f=(1.5?1)(1/R+1/R)
= 0.5 × 2/R=1/R
∴ f = R

Question 4.
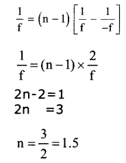
Find the refractive index of the glass which is a symmetrical convergent lens it its local length is equal to the radius of curvature of its surface.

Answer:
Given that lens is convergent symmetrical We know that
∴ R1= R = f
R2= -R= -f
We know that 1/f =(n?1)[1/R1?1/R2]

∴ Refractive index of glass = 1.5

Question 5.
Man wants to get a picture of a zebra. He photographed a white donkey after fitting a glass with black stripes, onto the lens of his camera. What photo will he get? Explain.

Answer:

  1. He will get a photograph which consists of black and white stripes.
  2. As the reflected light rays from the white donkey entered into camera through the lens having black stripes, these black stripes do not allow the rays Inside.
  3. So, the rays which pass through the transparent part of a camera lens only forms the corresponding image of donkey on the film i.e., white lines as it is white in colour.
Question 6.
Harsha tells Slddhu that the double convex lens behaves ‘like a convergent lens. But Slddhu knows that Harsha’s assertion Is wrong and corrected Harsha by asking some questions. What are the questions asked by Siddhu?

Answer:
Siddhu may ask the following questions

  1. What is the shape of the lens If two convex lenses are attached?
  2. What happens when a light ray passes through a double convex lens?
  3. Is there any convergent point available, if the light ray passes through a double convex lens.
Question 7.
Can a virtual Image be photographed by a camera?

Answer:

  • Yes, a virtual Image can be photographed by a camera.
  • A plane mirror forms a virtual Image, we can able to take photographs of that Image In plane mirror.
  • In the same way, human eyes forms a virtual image, which can able to take a photograph.
Question 8.
How do you appreciate the coincidence of the experimental facts with the results obtained by a ray diagram in terms of behaviour of Images formed by lenses?

Answer:

  1. By using a ray diagram, the reflected ray must be placed at a particular point by the principal axis. That means we have to find the images, shorter or longer.
  2. By using ray diagrams, we are able to find the focal length from lens maker’s formula in many optical instruments, some lens combinations are used to magnification (or) diminished of the image.
  3. When white light passes through a prism, then VIBGYOR is formed on the principal axis that means converging take place.
  4. So, I appreciate the coincidence of the experimental facts with the results obtained by a ray diagram in terms of behaviour of images formed by lenses.
Question 9.
Find the radii of curvature of a convexo-concave convergent lens made of glass with refractive Index n = 1.5 having focal length of 24cm. One of the radii of curvature is double the other.

Answer:
n=1.5, f=24cm, R1=R, R2=2R
1/f=(n?1)(1/R1+1/R2)
R1 = positive, R2 = positive
1/24=(1.5?1)(1R?12R)
1/24=(0.5)(2?1/2R)
1/24=(0.5)(1/2R)
R = 6 cm

R1 = R = 6cm,
R2 = 2R = 12 cm

Higher Order Thinking Questions

Question 1.
A convex lens Is made up of three different materials as shown in the figure. How many of Images does It form?

Answer:

  • Given convex lens is made up of three different materials.
  • The three different materials have three different refractive indices.
  • So the given lens have three different focal lengths. Hence it forms three images.
Question 2.
You have a lens. Suggest an experiment to find out the focal length of the lens.
(OR)
Write the experimental method and apparatus required in finding out the image formation, using convex lens.

Answer:

When an object is placed at the centre of curvature (C2) on the principal axis, we will get an Image at (C1) which is real, inverted and of the same size as that of the object.

If the object is placed between focus and optic centre, we will get an image which is virtual, erect and magnified.

Question 3.
Figure shows ray AB that has passed through a divergent lens. Construct the patti of the ray up to the lens if the position of Its foci is known.

Answer:

A. Given AB is the ray that passes through a diverging lens. F is the focus of the lens.

If AB ray is extended backward It seems to be passing through focal point (F). This is possible only when incident ray is parallel to the principal axis.

Question 4.
Figure shows a point light source and Its Image produced by a lens with an optical axis N1N2Find the position of the lens and its foci using a ray diagram.

Answer:

  • The object is in between focus and optic Centre.
  • The image is virtual, erect and magnified.
  • ‘l’ Is the lens, ‘O’ Is the object and ‘I’ Is the Image.
Question 5.
Find the focus by drawing a ray diagram using the position of source Sand the image S’ given In the figure.

Answer:

  • When the object is between curvature 2F1and focus (F2), the image will be formed beyond, centre of curvature.
  • The image will be real inverted and magnified.
Question 6.
A parallel beam of rays is incident on a convergent lens with a focal length of 40cm. Where should a divergent lens with a focal length 15cm be placed for the beam of rays to remain parallel after passing through the two lenses? Draw a ray diagram.

Answer:

Focal length of convex lens, f1= 40 cm (+ve)
Focal length of concave lens, f2= 15 cm (- ve)
For the emergent rays to be parallel to principal axis, the effective focal length of the combination should be zero. Effective focal length of two lenses separated by some distance is given by

Question 7.
Suppose you are inside the water in a swimming pool near an edge. A friend is standing on the edge. Do you find your friend taller or shorter than his usual height? Why?

Answer:
The friend looks taller than what he actually is. Friend AB Is standing on the bank of the lake. The rays of light BP and BQ from the head (B) of the friend, on refraction at the water-air interface, bend towards the normals at points P and Q and appear to come from point B’ Therefore, to me, my friend will appear as AB’ i.e. taller than what his actual height, AB is.

Question 8.
Use the data obtained by activIty -2 In table-1 of this lesson and draw the graphs of u VS v and 1/u VS 1/v

Answer:
Graph of u - v using data obtained by activity 2.
Take lens with focal length 30 cm.

Object distance Image distance Focal length
60 cm 50cm 60 cm
75 cm 30 cm 30 cm
40 cm 120 cm 30 cm

Graph of 1/u=1/v

For these values the graph is straight line which touches the axes as shown in figure.

Question 9.
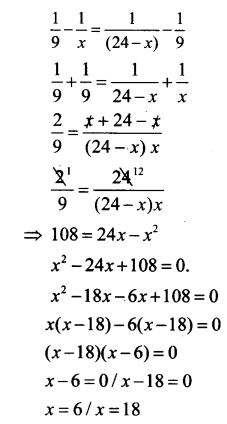
The distance between two point sources of light is 24cm. Where should a convergent lens with a focal length of f9cm be placed between them to obtain the Images of both sources at the same point?

Answer:

for S1
1/v1?1/?x=1/9
for S2
1/v2?1/?(24?x)=1/9
1/v2=1/9?1/(24?x)
Since, sign conventioi for S1 and S2 is just opposite
Hence v1 = v2
1/v1=?1/v2

Solving x = 6cm. Therefore, the lens should be kept at a distance of 6cm from either of the object.

Suggested Experiments

Question 1.
Conduct an experiment to find out the focal length of the lens.
(OR)
You have a lens. Suggest an experiment to find out the focal length of the lens.

Answer:

  1. Take a V-stand and place it on a long table at the middle.
  2. Place a convex lens on the V-stand.
  3. Light a candle and place it at a long distance along the principal axis.
  4. Adjust the screen which is on other side of lens to get an image on ¡t.
  5. Measure the distance of the image from the stand of the lens(v) and also measure the distance between the candle and stand of iens(u) .
  6. Repeat the experiment for various object distances(u) like 50cm, 40cm, 30cm and measure distances of images(v) in each case and note in the table.

substituting the values of u, v fn the formula 1/f=1/u+1/v focal length of the lens
∴ f = uv/u+v

Question 2.
Let us assume a system that consists of two lenses with focal length f1and f2respectively. How do you find the focal length of the system experimentally, when

(i) two lenses are touching each other
(ii) they are separated by a distance d’ with common prlnclpal axis.

Answer:
Consider two lenses A and B of focal lengths f1and f2placed in contact with each other. Let the object be placed at a point ‘O’ beyond the focus of the first lens
(i) The first lens produces an Image at I1. Since I1Is real, It serves as a virtual image at I.

(ii) When they are separated by some distance ‘d’.
Two thin lenses are placed coaxially at a distance of separation ‘d The Incident ray AB and the emergent ray CD intersect at E. The perpendicular from E to the principal axis falls at R The equivalent lens should be placed
at this position R A ray ABE going parallel to the principal axis will go through the qulvalent lens and emerge along ECD. The angle of deviation,
from :
θ = θ12From ΔBEC.
∴ θ = θ12

From the above figure. We have

Suggested Projects

Question 1.
Collect the information about the lenses available in an optical shop. Find out how the focal length of a lens may be determined by the given ‘power’ of the lens.

Answer:
Lens is a portion of a transparent retracting medium which is bounded by the coaxial spherical surfaces. There are two types of lenses

  • Convergent lenses : These are thick at centre and thin near edges. They bend the rays towards centre of the lens. They are divided Into three categories.
  • Divergent lenses: These are thin at the centre and thick near edges. They bend the rays towards the edges of the lens. They are also further divided In to three categories. The power of a lens is defined as reciprocal of focal length of the lens. It is measured In diopters.
Question 2.
Take two watch glasses and affix them. Pour two different liquids (Eg:‘ Water, Navaratan oil) and now It will act like a lens with two dIfferent materials. Put a light source (object) in front of this lens and note the observations and write a report on It.

Answer:

  1. Since the refractive indices of water and glass are nearly equal, the portion of the lens filled with water acts as convex lens.
  2. Since the refractive Index of Navaratan oil less than the refractive index of glass, the portion of the lens filled with Navaratan oil will acts as diverging lens (concave lens).
  3. As there are two types of lenses n a given single lens, It will form two types of images in which one is real Inverted and small Image due to refraction of light through the portion of lens which is filled with water (convex lens).
  4. And other is virtual, exerted and small image due to the refraction of light through the portion of lens which is filled wIth Navaratan oil. (Concave lens).
  5. The formation of Images is as shown in the fig.

Page 57

Question 1.
Have you ever touched a magnifying glass with your hand?

Answer:
Yes

Question 2.
Have you touched the glass in the spectacles used for reading with your hand?

Answer:
Yes

Question 3.
Is It plane or curved surface?

Answer:
Curved

Question 4.
Sitthicker in the middle or at the edge?

Answer:
It is thicker at the edges.

Question 5.
What do you see?

Answer:
We will see a diminished (small-sized) image of the arrow.

Question 6.
Why do you see a diminished Image?

Answer:
When the vessel is empty, light from the arrow refracts at the curved interface, moves through the glass and enters Into air then it again undergoes refraction on the opposite curved surface of the vessel and comes out into the air. In this way light travels through two media and comes out of the vessel and forms a diminished image.

Question 7.
is the Image real or virtual?

Answer:
Virtual

Question 8.
Can you draw a ray diagram showing how ¡t ¡s formed?

Answer:

Page 58

Question 9.
What do you see now?

Answer:
When the vessel is filled with water, there is a curved Interface between two different media.

Question 10.
Do you get an inverted image?

Answer:
When the vessel Is filled with water, light enters the curved surface, moves through water, comes ot4t of the glass and forms an inverted Image.

Question 11.
How could this happen?

Answer:
When the vessel Is filled with water, there is a curved interface between two different media (air and water). Assume that the refractive indices of both water and glass are the same. This setup of air and water separated by a curved surface is shown in the figure 1.

Question 12.
What happens to a ray that is Incident on a curved surface separating the two media?

Answer:
Ught ray gets refracted

Question 13.
Are the laws of refraction still valid?

Answer:
Yes, laws of refraction are valid in the case of refraction at curved surfaces.

Question 14.
How do rays bend when they are incident on a curved surface?

Answer:
As In the case of plane surfaces, a ray will bend towards the normal if it travels from a rarer medium to denser medium and bends away from the normal if It travels from a denser medium to rarer medium.

Page 59

Question 15.
What happens to a ray that travels along the principal axis? Similarly, a ray that travels through the centre of curvature?

Answer:
According to Snell’s law the ray which travels along the normal drawn to the surface does not deviate from its path. Hence both rays mentioned above travel along the normal, so they do not deviate.

Question 16.
What happens to a ray travelling parallel to the principal axis?

Answer:
Observe the figures a, b, c, and d. In all the cases as represented by the diagrams, the incident ray is parallel to the principal axis.
Casi: A ray travelling parallel to the principal axis strikes a convex surface and passes from a rarer medium to denser medium.

(a) Case2: A ray travelling parallel to the principal axis strikes a convex surface and passes from a denser medium to rarer medium.

Case3: A ray travelling parallel to the principal axis strikes a concave surface and passes from a rarer medium to rarer medium.

Case 4: A ray travelling parallel to the principal axis strikes a concave surface and passes from a rarer medium to denser medium.

Question 17.
What difference do you notice in the refracted rays in 4a and 4b?

Answer:
In the case of 4(a) refracted ray reaches a particular point on the principal axis.

Page 60

Question 18.
What could be the reason for that difference?

Answer:
One is convex curved surface and other is concave curved surface.

Question 19.
What difference do you notice In retracted rays in figure 4(c) and 4(d)?

Answer:
In the case of 4(c) refracted ray travels towards principal axis and in case 4(d) refracted ray travels away from the principal axis, but the extended rays intersect the axis and in this case at focal point.

Question 20.
What could be the reasons for that difference?

Answer:
One is convex curved surface and other is concave curved surface

Question 21.
How can you explain this change In the size of the lemon?

Answer:
As the light travels from glass vessel (curved surface) to the air(rarer medium) light bends away from the normal and lemon appears bigger In size.

Question 22.
Is the lemon that appears bigger in size an image of lemon or is it the real lemon?

Answer:
It is the image of the lemon only but not the real lemon.

Question 23.
Can you draw a ray diagram to explain this phenomenon?

Answer:
When a ray of light travels from one transparent medium to another, it bends at the surface, thereby separating the two media. hence, the lemon appears larger than its actual size. This happens because different media have different optical densities. The phenomenon of bending of light as it travels from one medium to another is known as refraction of light.

Page 64

Question 24.
What happens to the light ray when a transparent material with two curved surfaces is placed In Its path?

Answer:
When two transparent curved surfaces are placed In the path of light ray It becomes a lens and light gets refracted.

Question 25.
Have you heard about lenses?

Answer:
Yes, I heard about lenses.

Question 26.
How does a light ray behave when it Is passed through a lens?

Answer:
Depending on the type of lens light ray diverges from a point or converges at a point.

Page 66

Question 27.
How does the lens from an Image?

Answer:
As lens has two surfaces, we can consider the lens as a single surface element because we assume that the thickness of the lens is very small and show the net refraction at only one of the surfaces.

Question 28.
If we allow a light ray to pass through the focus, which path does it take?

Answer:
The ray passing through the focus will take a path parallel to principal axis after refraction.

Page 67

Question 29.
What happens when parallel rays of light fall on a lens making some angle with the principal axis?

Answer:
When parallel rays, making an angle with principal axis, fall on a lens, the rays converge at a point or appear to diverge from a point lying on the focal plane.

Question 30.
What do you mean by an object at infinity?

Answer:
The light rays incident on the lens from the object which is very far off from the lens.

Question 31.
What type of rays fall on the lens?

Answer:
The rays which are parallel to the principal axis are incident of the lens.

Page 69

Question 32.
What do you notice?

Answer:
Irrespective of the position of object, on the principal axis, we get an erect, virtual image, diminished In size in between the focal point and optic centre for concave lens.

Page 70

Question 33.
Can we realise In practice the results obtained in the ray diagrams when we perform experiments with a lens?

Answer:
Yes, when lens is used we get the ¡mage at the same positions.

Question 34.
Why are we using a screen to view this Image? Why don’t we see It directly with our eye?

Answer:
On a screen we get a real image but when we see with our eyes we get virtual image.

Page 71

Question 35.
Could you get an image on the screen for every object’s distance?

Answer:
We are image on the screen when object is placed at any position except when the object is placed between focus and optic centre.

Question 36.
Why don’t you get an image for certain object distances?

Answer:
When the object Is placed between the focus and optic centre the Image formed virtually and also it Is formed on the same side of the object.

Question 37.
Can you find the minimum limiting object distance fur obtaining a real image?

Answer:
Yes, the minimum distance required to get real image must the greater than are equal to focal length.

Question 38.

Answer:
It is called least distance of distinct vision.

Question 39.
Could you see the image?

Answer:
Yes, we can see a magnified image on the same side when we kept the object as indicated.

Question 40.
What type of image do you see?

Answer:
This is a virtual image of the object which we cannot capture on the screen.

Question 41.
Can you find the Image distance of this virtual Image?

Answer:
No, we cannot measure the distances

Question 42.
Could you find focal length of the lens from the values recorded in table -1?

Answer:
Yes we can find the focal length from the values obtained from the table.

Question 43.
Can we establish a relation between u’, v’ and ‘f’?

Answer:
1/v?1/u=1/f and this is known as lens formula.

Question 44.
How Is the image formed?

Answer:
Image formed is real.

Page 73

Question 45.
Is the focal length same for each set of values?

Answer:
Irrespective of object distance and image distance we get same focal length.

Page 74

Question 46.
On what factors does the focal length of the lens depend?

Answer:
The focal length of lens depends upon the surrounding medium in which it is kept.

Question 47.
Can you see the Image of the stone?

Answer:
Yes, we can see the Image of the stone when distance between the lens and stone is less than the focal length of the lens( in air).

Question 48.
If Yes/Not, why? Give your reasons.

Answer:
We can see the ¡mage of the stone ¡f the distance between stone is less than the focal length of the Iens(in air). Now increase the distance between lens and stone until you cannot see the Image of the stone.

Question 49.
Whatdoyouconcludefromthlsacttvlty?

Answer:
When we dipped the lens to a certain height which ¡s greater than the focal length of lens In air, we can see the Image. This shows that the focal length of lens has increased in water.

Question 50.
Does the focal length of the lens depend on surrounding medium?

Answer:
Focal length of the lens depends upon the surrounding medium In which It is kept.

Activity 1

Question 1.
Write an activity to observe the refraction of light at curved surfaces.

Answer:
Procedure and observation:

  1. Draw an arrow of length 4 cm using a black sketch pen on a thick sheet of paper.
  2. Take an empty cylindrical-shaped transparent vessel.
  3. Keep it on the table.
  4. Ask your friend to bring the sheet of paper on which arrow was drawn behind the vessel while you look at it from the other side.
  5. We will see a diminished image of the arrow.
  6. Ask your friend to fill vessel with water.
  7. Look it the arrow from the same position as before.
  8. We Can Observe an inverted Image.

Explanation:

  1. At the first time ‘light travels through two media, i.e., glass arid air and conies out of the vessel. So it forms a dimlnishcd imaoe.
  2. At the second time, light enters the curved surface, moves through water, comes out of the glass. So it forms an inverted image.

Lab Activity 1

Question 2.
Write an activity to know the types of images and measuring the object distance and image distance from the lens,

Answer:
Procedure:

  • Take a v-stand and place a convex lens on this stand.
  • Imagine the principal axis of the lens.
  • Light a candle and ask your friend to take the candle far away from the lens along the principal axis.
  • We use a secreen because It forms a real image generally which will form on a screen. Real Images cannot be seen with an eye.
  • Adjust the screen, on other side of lens until clear image forms on it.
  • Measure the distance of the image from the y- stand and also measure the distance between the candle arid stand of lens.
  • Now place the candle at a distance of 60 cm from the lens. Such that the flame of the candle lies on the principal axis of the lens.
  • Try to get an image of candle flame on the other side on a screen.
  • Adjust the screen till you get a clear image.
  • Measure the distance of image (v) from lens and record the value’s of u and v in the table.
  • Repeat this for various distances of mages in all cases and note them in the table.

Observation:

Conclusion:
From this table, we conclude that a convex lens forms both real and virtual images when object is placed at various positions.

Activity 2

Question 3.
How can you show that the focal length of a convex lens will increase in water or In the surrounding medium?

Answer:
Procedure:

  • Take a convex lens.
  • Note the average focal length of the lens that calculated in the activity.
  • Take a cylindrical vessel such as glass tumbler.
  • Its height must be 3 or 4 times greater than the focal length of the lens.
  • Keep a black stone inside the vessel at its bottom.
  • Now pour water into the vessel up to a height such that the height of the water level from the top of the stone is greater than focal length of lens.
  • Now dip the lens horizontally using a circular lens holder as shown in the figure above the stone.
  • Set the distance between stone and lens that is equal to or less than focal length of lens
  • Now look at the stone through the lens.
  • You can see the image of the stone if the distance between lens and stone Is less than the focal length of the lens (in air).
  • Now increase the distance between lens and stone until you cannot see the image of the stone.
  • You have dipped the lens to a certain height which is greater than the focal length of lens in air.
  • But you can see the image.
  • This shows that the focal length of lens has increased In water Thus we conclude that the focal length of lens depends upon the surrounding medium in which it is kept.

Important Question

Question Papers / Notes Download

Videos

Join
Intermediate
-