Solutions

Improve Your Learning

I. Reflections on concepts

Question 1.
Where will the image be formed when we place an object, on the principal axis of a concave mirror at a point between focus and centre of curvature?

Answer:
1. When we place an object on the principal axis of concave mirror at a point between focus and centre of curvature, the image is formed beyond centre of curvature.

2. The image so formed is real, inverted and magnified.

Question 2.
State the differences between convex and concave mirrors.

Answer:

Convex mirror Concave mirror
1. A parallel beam of light falling on this mirror appears to diverge from a point after reflection. 1. A parallel beam of light falling on this mirror converges at a point after reflection.
2. The reflecting surface of convex mirror is bulged out. 2. The reflecting surface of a concave mirror curve inward.
3. Radius of curvature and focal length are negative. 3. Radius of curvature and focal length are positive.
4. It’s magnification has positive only. 4. It’s magnification has both positive and negative.
5. Magnification of convex mirror is in between zero and one. 5. Magnification value of concave mirror having all values except zero to one.
6. The image formed by convex mirror always diminished. 6. The image formed by concave mirror may be magnified or diminished.
7. This mirror produces only virtual image. 7. This mirror produces both real and virtual images depending upon position of object.
Question 3.
Distinguish between real and virtual images.

Answer:

Real image Virtual image
1. Real image is formed if light after 1. Virtual image is formed when rays reflection or refraction converges after reflection appear to be comto a point. ing from a point.
2. Here the rays actually meet at the from the image point. 2. Here the rays appear to diverge image point.
3. It can be captured on screen. 3. It cannot be captured on screen.
4. It is always inverted. 4. It is always erect.
Question 4.
How do you get a virtual image using a concave mirror?

Answer:
A. When an object is kept between pole and focus of a concave mirror virtual image is formed behind the mirror.

Question 5.
What do you know about the terms given below related to spherical mirrors?

(a) pole
(b) centre of curvature
(c) focus
(d) Radius of curvature
(e) Focal length
(f) principal axis
(g) object distance
(h) image distance
(i) Magnification.

Answer:
(a) Pole: The point on the principal axis of spherical mirror with respect to which all the measurements are made. Usually, it is the mid point of the curvature of mirror.

(b) Centre of curvature: The centre of the sphere of which the curved surface of the mirror is a part.

(c) Focus: The light rays coming from a source parallel to the principal axis converge at a point after reflection. This point is called focus or focal point.

(d) Radius of curvature: The radius of the sphere of which the curved surface is a part is called radius of curvature.

(e) Focal length: The distance between the pole of the mirror and focus is called focal length of mirror.

(f) Principal axis: The straight line passing through the centre of curvature and pole of curved mirror is called principal axis.

(g) Object distance: The distance between the pole of the mirror and object position of object is known as object distance.

(h) Image distance: The distance between the pole of the mirror and position of image is called image distance.

(i) Magnification: Magnification of a spherical mirror is the ratio between size (height) of image to the size (height) of object. Also, m= v/u.

Question 6.
What do you infer from the experiment which you did to measure the object distance and image distance?

Answer:
Inference from the experiment which I did with concave mirror :

Inference:

  1. As the object moves away from the mirror the image approaches the mirror.
  2. As the object moves away from mirror the size of the image becomes smaller.
Question 7.
Write the rules for sign convention.

Answer:
Rules for sign convension:

  1. AN distances should be measured from the pole.
  2. The distances measured in the direction of incident light, are taken positive and the opposite direction of incident light are taken negative.
  3. Height of object (H0) and height of image (H1) are positive if measured upward
    from the axis and negative if measured downward.
  4. For a concave mirror ‘f’ and ‘R’ are negative and for a convex mirror these are positive.

II. Application of concepts

Question 1.
Find the distance of the image, when an object is placed on the principal axis, at a distance of 10 cm in front of a concave mirror whose radius of curvature is 8 cm.

Answer:
Object distance u = -10 cm
Radius of curvature (r) = -8cm
Image distance v=?

The image distance (v) = 6.7 cm.
i.e., Real image is formed at same side of the mirror.

Question 2.
The magnification product by a plane mirror is +1. What does it mean?

Answer:

  1. Magnification = height of the image/height of the object = distance of the image/distance of the object
  2. The magnification produced by a plane mirror is +1 means then the size of the image is equal to the size of the object.
  3. + sign indicates that the image is erect. Magnification ‘+1’ indicates the image is erect and size of the image is equal to size of the object.
Question 3.
If the spherical mirrors were not known to human beings, guess the consequences.

Answer:
If spherical mirrors are not known to human beings

  1. Many optical instruments would not have been invented.
  2. We cannot increase the size of images of the objects.
  3. The problem of lateral inversion of images will not be solved.
  4. Now a days spherical mirrors are used as shaving mirrors, head mirrors for ENT specialists, in headlights of motor vehicles, in solar furnaces and as rearview mirror. If spherical mirrors are not known all these are not possible.
Question 4.
Draw suitable rays by which we can guess the position of the imge formed by a concave mirror.

Answer:
The following rays are used to guess the position of the image formed by a concave mirror.
(i) A ray parallel to the principal axis passes through principal focus (F) after reflection from a concave mirror.

(ii) A ray passing through ‘F’ becomes parallel to principal axis after reflection from a concave mirror.

(iii) A ray passing through ‘C’ is reflected back along the same path after reflection from a concave mirror.

(iv) A ray incident obliquely to the principal axis towards the pole P, on the concave mirror is reflected obliquely, following the laws of reflection.

Question 5.
Show the formation of image with a ray diagram, when an object is placed on the principal axis of a concave mirror away from the centre of curvature.

Answer:
When an object is placed on the principal axis of a concave mirror and beyond (away from) its centre of curvature ‘C’, the image is formed between the focus (F) and the centre of curvature (C). The ray which is parallel to principle axis will pass through focus after reflection and the ray which passes through focus will travels parallel to principal axis after reflection. These two rays will converge between F and C of the mirror.

The image is real, inverted and diminished in size.

Question 6.
Why do we prefer a convex mirror as a rear-view mirror in the vehicles?

Answer:
We use convex mirror as a rear-view mirror in the vehicles because

  1. Convex mirror always forms virtual, erect, and diminished images irrespective of distance of the object.
  2. A convex mirror enables a driver to view large area of the traffic behind him.
  3. Convex mirror forms very small image than the object. Due to this reason convex mirrors are used as rear-view mirrors in vehicles.

III. Higher Order Thinking Questions

Question 1.
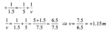
A convex mirror with a radius of curvature of 3 m is used as a rearview mirror for a vehicle. If a bus is located at 5m from this mirror, find the position, nature, and size of the image.

Answer:
According to the sign convention :
Radius of curvature = R = + 3m
Object distance = u = -5 m (negative sign)
Image distance = v =?
Focal length, f =R/2=3/2m = 1.5 m
Formula : 1/f=1/u+1/v

The image is formed at a distance of 1.15 m at the back of the mirror.
Magnification, m = hi/ho=?v/u=?1.15m/?5m=1.15/5 = 0.23
The image is virtual, erect, and diminished to 0.23 times of the size of the object.

Question 2.
To form the image on the object itself, how should we place the object in front of a concave mirror? Explain with a ray diagram.

Answer:
To form the image on the object itself, the object should be kept at center of curvature of a concave mirror.

  1. An object AB has been placed at the centre of curvature ‘C’ on the concave mirror.
  2. A ray of light AD which is parallel to principle axis passes through the focus ‘F after reflection as DA’.
  1. A ray of light passing through the focus of the concave mirror becomes parallel to the principle axis after reflection.
  2. Here AE ray passing through focus and reflected as EA’.
  3. The reflected rays DA’ and EA’ meet at A’ point. So the real image formed at point A’ of the object.
    We get couple image AB perpendicular to the principal axis.
  4. Thus A’B’ is the real inverted image of the object AB.

Suggested Experiments

Question 1.
Conduct an experiment to find the focal length of concave mirror.
(or)
How can you find out the focal length of concave mirror experimentally when there is no sunlight?

Answer:
Aim: To find the focal length of a concave mirror,
Materials required : (i) A concave mirror (ii) V-shape stand (iii) A candle (iv) A meter scale.

Procedure :

  1. Place the concave mirror on the V-shape stand.
  2. Keep a burning candle in front of the concave mirror.
  3. Place a thick white paper behind the candle. This acts as a screen.
  4. Adjust distances between candle and mirror, screen and mirror by moving them either forward or backward till a clear well-defined image appears on the screen.
  5. Measure the distance between the mirror and candle (object distance u) and the distance between mirror and screen (image distance v).
  6. Using the mirror formula, 1/f=1/u+1/v or f = uv/u+v
    This gives the focal length of the concave mirror.
Question 2.
Find the nature and position of images when an object is placed at different places on the principal axis of a concave mirror.

Answer:
Aim: Observing the types of images and measuring the object distance and image distance from the concave mirror.
Material required: A candle, paper, concave mirror (known focal length), V- stand, measuring tape or meter scale.

Procedure:

  1. Place the concave mirror on V-stand, a candle and meter scale as shown in figure.
  1. Keep the candle at different distances from the mirror (10 cm to 80 cm) along the axis and by moving the paper screen find the position where you get the sharp image on paper.
  2. Note down your observations in the following table.
  3. Since we know the focal point and centre of curvature, we can classify our above observations as shown in the following table.

Suggested Project Works

Question 1.
Collect information about the history of spherical mirrors in human civilization, write a report on it.

Answer:

  1. The first mirrors used by people were most likely pools of water or still water. The earliest manufactured mirrors were pieces of polished stones.
  2. Parabolic mirrors were described and studied in classical antiquity by the mathematician Archimedes in his work on burning mirrors.
  3. Ptolemy conducted a number of experiments with curved polished iron mirrors. He also discussed plane, convex, concave, and spherical mirrors in his optics.
  4. In China, people began making mirrors with the use of silver mercury amalgams as early as 500 AD.
  5. In 16th century, Venice, a big city popular for its glass-making expertise, became a centre of mirror production using this new technique.
  6. The invention of the silvered-glass mirror is credited to German Chemist Justus Von Liebig in 1835.
Question 2.
Think about the objects which act as concave or convex mirrors in your surroundings. Make a table of these objects and display in your classroom.

Answer:

Question 3.
Collect photographs from your daily life where you use convex and concave mirrors and display in your classroom.

Answer:

Page 1

Question 1.
Is the image formed by a bulged surface same as the image formed by a plane mirror?

Answer:
No, the image formed by a bulged surface is virtual, created, and diminished image.

Question 2.
Is the mirror used in automobiles a plane mirror? Why it is showing small images?

Answer:
No, the mirror used in automobile is convex mirror. At it bulging outwards it forms small images.

Question 3.
Why does our image appear thin or bulged out in some mirrors?

Answer:
The image in a mirror appears thin or bulged out because the thickness of the mirror may vary or the reflecting surface may not be flat.

Question 4.
Can be see inverted image in any mirror?

Answer:
Can we see inverted image in any mirror? Yes, we can see inverted image in concave mirror for a distant objects.

Question 5.
Can we focus the sunlight at a point using a mirror instead of a magnifying glass?

Answer:
Yes. By using a black paper with a tiny hole at its centre.

Question 6.
Are the angle of reflection and angle of incidence also equal for reflection by curved surfaces?

Answer:
No.

Page 4

Question 7.
Does this help you to verify the conclusions you arrived at with your drawing?

Answer:
Yes.

Question 8.
What happens if you hold the paper at a distance shorter than the focal length from the mirror and move it away?

Answer:
We find there is no point at which the reflected rays converge at a point. But as we move the paper away from the focal point, we find images formed at different distances from the mirror.

Question 9.
Does the image of the sun become smaller or bigger?

Answer:
We notice that the image of the sun keeps on becoming smaller. Beyond the focal point, it will become bigger.

Page 5

Question 10.
Do we get an image with a concave mirror at the focus every time?

Answer:
We get the images not only at the focus every time, we get different ¡mages by keeping the object at different points depending on focal length of mirror.

Page 6

Question 11.
It is inverted or erect, enlarged or diminished?

Answer:

Question 12.
What do you infer from the table?

Answer:
From the table 2. I infer that images can be formed at other positions different from focal point.

Page 7

Question 13.
Why only at point A?

Answer:
If we hold the screen at any point before or beyond point A (for example at point B), we see that the rays will meet the screen at different points due to these rays. If we draw more rays emanating from the same tip we will see that
at point A they will meet but at point B they do not. So the image of the tip of the flame will be sharp at point A.

Page 9

Question 14.
Where is the base of the candle expected to be in the image when the candle is placed on the axis of the mirror?

Answer:
The base of the candle is going to be on the principle axis ¡n the image when the object is placed on the axis of the mirror.

Question 15.
During the experiment, did you get any positions where you could not get an image on the screen?

Answer:
Yes. When the object is placed at a distance less than the focal length of the mirror we do not get an ¡mage on the screen.

Page 11

Question 16.
Have you observed the rearview mirrors of a car?

Answer:
Yes. I have observed rear view mirror of a car.

Question 17.
What type of surface do they have?

Answer:
A concave mirror will be like the rubber sole bent inwards and the reflecting surface will be curved inwards.

Question 18.
Can we draw ray diagrams for convex surface?

Answer:
We can draw ray diagrams with convex surface by making use of “easy” rays that we have identified, with small modifications.

Think and discuss

Question 1.
See the figure - 5 In text. A set of parallel rays are falling on a convex mirror. What conclusions can you draw from this?

Answer:
On seeing figure 5, the following conclusions can be drawn;

  1. The parallel beam of rays meet at infinity.
  2. So the Image Is not visible. :
  3. This parallel beam of rays forms a virtual image which is smaller than the size of object.
Question 2.
Will you get a point Image If you place a paper at the focal point?

Answer:
No. These parallel beam of rays do not meet at a visible point and we do not get a point image.

Question 3.
Do you get an image when object is placed at F? Draw a ray diagram. Do the experiment.

Answer:
We did not get the image when the object is placed at Focus ‘F’ of concave mirror.
Experiment:

Aim: Observing the Image formed by the object which is placed at ‘F’ of concave mirror.
Materal required: A candle, paper, a concave mirror (known focal length), V-stand, measuring
tape or meter scale.

Procedure:
1. Place the concave mirror on V-stand, a candle and meter scale as shown in figure.

Keep the candle at a distance equal to the focal length of the mirror. (which Is known)
Now move the paper screen away from the mirror along the axis to observe the image.
You will notice that the image cannot be seen because it Is formed at infinity.

Activity 1

Question 1.
Explain an activity to find the normal to a curved surface.

Answer:

  1. Take a small piece of thin foam or rubber.
  2. Put some pins in a straight line on the foam.
  3. All these pins are perpendicular to the foam.
  4. If the foam is considered as a mirror, each pin would represent the normal at that point.
  5. Any ray incident at the point where the pin makes contact with the surface will reflect at the same angle the incident ray made with the pin-normal.
  6. Now bend the foam piece inwards.
  7. The pins still represent the normal at various poInts.
  8. You will observe that all the pins tend to coverage at a point.
  9. This will be appear like a concave mirror.
  10. Now bend the foam piece outwards.
  11. The pins seem to move away from each other that means they diverge.
  12. The pins still represent the normal at various points.
  13. This will be appear like a convex mirror.

Activity 2

Question 2.
How do you Identify the focal point and foal length of a concave mirror?

Answer:
Hold a concave mirror perpendicular to me direction of sunlight

  • Take a small paper and slowly move it in front of the mirror.
  • Find the point where you get smallest and brigh – test spot, which is the image of the sun.
  • The rays coming from the sun parallel to the concave mirror are converging at a point. This point is called focus or focal point (F) of the concave mirror.
  • Measure the distance of this spot from the pole (P) of the mirror.
  • This distance Is the focal length (f) of the mirror

Lab Activity

Question 1.
Describe an experiment to observe types of mages formed by e concave mirror and measure the object end image distances.
(OR)
Write the experimental method in measuring the distances of object and image using concave mirror. And write the table For observations.

Answer:
Aim: Observing the types of images and reasoning the object distance and image distance from the concave mirror.
Material required: A candle, paper, concave minor (known focal length), V- stand, moesunng tape or meter scale.

Procedure
1. Place the concave mirror on V-stand, a candle and meter scale as shown in figure.

2. Keep the candle at different distances from the mIrror (10 cm to 80 cm) along the axis and by moving the paper screen fd the position where you get the sharp mage on paper.
3. Note down your observations in the following table.

4. Since we know the focal point and centre of curvature, we can re-classify our above observations as shown in the following table.

Important Question

TS 10th Class Physical Science Important Questions Chapter 1 Reflection of Light at Curved Surfaces

1 Mark Questions
Question 1.
Can you find out the rough focal length of a convex  mirror?

Answer: No, because it always forms a virtual image for any position of the object

Question 2.
What type of mirror ¡s used to obtain real image?

Answer: Concave mirror is used to obtain real image

Question 3.
Which mirror has large field of view?

Answer: Convex mirror

Question 4.
For what position of an object, a real and diminished image is formed by a concave mirror?

Answer: The position of an object is beyond centre of curvature

Question 5.
What is reflection?

Answer: The light rays falling on a surface are returned Into the original medium, this phenomenon is called reflection

Question 6.
What Is meant by lateral Inversion?

Answer: The right appears as left in the image is called lateral inversion

Question 7.
Which spherical mirror will be bent outward?

Answer: Convex mirror will be bent outward

Question 8.
Which mirror is called converging mirror?

Answer: Concave mirror is called converging mirror

Question 9.
Which spherical mirror will be bent inward?

Answer: Concave mirror will be bent inward

Question 10.
Which mirror is called diverging mirror?

Answer: Convex mirror is called diverging mirror

Question 11.
What is the relation between focal length and radius of curvature?

Answer: Radius of curvature = 2 x focal length ? R=2f(or)f = R2

Question 12.
Which mirror always give virtual image?

Answer: Convex mirror always give virtual image

Question 13.
What is the mirror formula for spherical  mirrors?

Answer: The mirror formula is f = focal length of mirror, u = object distance, v = image distance

Question 14.
What is vertex?

Answer: The point at which the central axis touches the mirror is called vertex

Question 15.
What is focus?

Answer: The light rays coming from distint object appear to meet at point in case of concave mirror and tends to meet at point when drawn backwanl in case of convex mirror. That point is called focus

Question 16.
What is centre of curvature?

Answer: The centre of sphere to which the mirror belongs is called centre of curvature

Question 17.
What is focal length?

Answer: The distance between vertex and centre of curvature

Question 18.
Define magnification?

Answer: The ratio of size of image to size of object is called magnification.

Question 19.
How do you get a virtual Image with a concave mirror?

Answer: When we place the object between vertex and focus then we will get a virtual Imagre

Question 20.
Why concave and  convex mirrors are called spheilcal mirrors?

Answer: The reflecting surface of convex and concave mirror is considered to form a part of the surface of a sphere so they are called spherical mirrors

Question 21.
Which mirrors are used in saloons?

Answer: Plane mirrors are used In saloons

Question 22.
Which mirrors will act as rare view mirror?

Answer: Convex mirrors will act as rare view mirror

Question 23.
Which Image does not form on a screen?

Answer: Virtual image

Question 24.
Which mirrors has magnification always same?

Answer: Plane mirrors has magnification always same

Question 25. What Is the magnification of plane mirror?

Answer: The size of object = size of Image ? magnificatIon = 1

Question 26.
Where do you place the vessel In solar cooker?

Answer: We place the vessel In solar cooker at the focal point

Question 27.
Write any two uses of concave mirror in our daily life?

Answer: Uses of concave mirror

  1. Concave mirrors are used by dentists to see enlarged image of tooth
  2. Concave mirrors are used In car headlights
Question 28.
Which objects at your home act as spherical mirrors?

Answer: Objects at home act as spherical mirrors

  1. Spoons
  2. Spectacles
  3. Sink
  4. Cooking vessel
Question 29.
Suggest a new use with a spherical mirror?

Answer: Spherical mirrors are newly adapted in AThis

Question 30.
What are needed to form a shadow?

Answer: A source of light, an opaque object and a screen are needed to form a shadow

Question 31.
Which rays are called paraxial rays?

Answer: The rays which are very nearer to the principal axis are called paraxial rays

Question 32.
Which property of concave  mirror Is used by dentists?

Answer: When a bulb is placed at the focus of a concave mirror light from the bulb gets reflected to produce a strong, parallel beam. By using this property, dentists are able to see the Inner parts of the tooth clearly

Question 33.
What is meant by converging of light rays?

Answer: If light rays after reflection meet at a point then we say the light rays are converging

Question 34.
When do you say light rays are diverging?

Answer: If lights rays appear as if they are coming from a point after reflection then we say light rays are diverging

Question 35.
If focal length is 20 cm then what Is radius of curvature of mirror?

Answer: f = 20 cm r = 2f = 2 x 20 40 cm. So radius of curvature = 40 cm

Question 36.
When does a ray reflect along the same path from a concave mirror?

Answer: When it passes through centre of curvature

Question 37.
When a light ray travelling parallel to principal axis falls on concave mirror, then what is the path of reflected ray?

Answer: The reflected ray passes through focal point

Question 38.
Where do you place the vessel in solar cooker?

Answer: We place the vessel in solar cooker at the focal point

Question 39.
If the magnification Is atways less than 1 then what Is the mirror?

Answer: The mirror is convex

Question 40.
The radius of curvature of a spherical mirror Is 20 cm. What is the focal length?

Answer: Radius of curvature (R) = 20 cm Focal length (f) = R2=202 = 10cm

Question 41.
Name a mirror that can give an erect and enlarged image of an object?

Answer: Concave mirror can give an erect and enlarged image of an object

Question 42.
The focal length of convex mirror is 16 cm. What is lts radius of curvature?

Answer: f = 16 cm. R = 2f = 2 x 16= 32 cm

Question 43.
A concave mirror produces three times magnified real image of an object placed at 10 cm in front of it. Where Is the image located?

Answer: 30 cm

Question 44.
Write any two uses of concave mirror in our daily life?

Answer: Uses of concave mirror

  1. Concave mirrors are used by dentists to see enlarged image of tooth
  2. Concave  mirrors are used in car headlights
Question 45.
Write any two uses of convex mirror in our daily life?

Answer: Uses of convex mirror

  1. Convex mirrors are used as rear view mirrors in vehicles because convex mirrors increase field of view
  2. Convex mirrors are used in street light reflectors as they spread light over greater area
Question 46.
Which objects at your home act as spherical mirrors?

Answer: Objects at home act as spherical mirrors are

  1. Spoons
  2. Spectacles
  3. Door-knobs
  4. Cooking vessel
Question 47.
What is your opinion on elevating buildings with mirrors?

Answer: The mirrors used in elevating buildings are reinforced, tough and laminated glasses. These mirrors provide safety and make the buildings attractive but the reflection caused by mirrors is dangerous to people travelling on roads and also to the birds

Question 48.
Suggest a new use with a spherical mirror?

Answer: Spherical mirrors are newly adopted in ATMs

Question 49.
Can a convex mirror burn a paper? If not? Why?

Answer: The rayscoming parallel to principal axis after reflection diverge from the mirror. So we cannot burn a paper by using a convex mirror as they do not converge light at a point

Question 50.
Which mirror has wider field of view?

Answer: A convex mirror has wider field of view, thats why they are used as rear view mirrors in vehicles

Question 51.
Why does our image appear thin or bulged In spherical mirrors?

Answer: Due to covering or diverging of light rays from the  mirror

Question 52.
Can we focus a sunlight at a point using a mirror instead of magnifying glass?

Answer: Yes, by using concave mirror we can focus sunlight at a point

Question 53.
Why is angle of Incidence equal to angle of reflection when a light ray is reflected from a surface?

Answer: Because light selects the path that takes least time to cover a distance

Question 54.
Are angle of reflection and angle of incidence also equal for curved surface?

Answer: Yes, it Is equal for curved surfaces like spherical mirrors

Question 55.
What is a spherical mirror? Give different types of spherical mirrors?

Answer: If the reflecting surface of mirror Is considered to form a part of the surface of sphere then it is called spherical mirror. Spherical mirrors are of two types

  1. Concave mirror
  2. Convex mirror
Question 56.
Why does an image suffer lateral Inversion?

Answer: The light rays which come from an object get reflected from the plane mirror and reach our eye, our brain feels that the ray (reflected ray) is coming from inside the mirror. That is why the right of object looks like left in the image

Question 57.
We wish to obtain an erect image of an object using a concave mirror of focal length of 15 cm. What should be range of distance of the object from the mirror ? What is the nature of the image? Is the image larger or smaller than the object?

Answer:

  1. The range of distance of object is between 0 and 15 cm
  2. The image is virtual and erect
  3. The Image Is larger than the object
Question 58.
To reduce glaze of surroundings the windows of sorne department stores, rather than being vertical, slant Inward at the bottom. How does this reduce glaze?

Answer: Thts slant reflects the sunlight further down towards the ground, than it would have happened If they are vertical

Question 59.
Predict and write the reason, why the value of the distance of the object (u) is always negative in the mirror equation?

Answer: Because, the object Is always placed infront of the mirror and the object distance is measured opposite to the incident rays, the sign of object distance is taken as negative

Question 60.
Which property of concave mirror Is used in making the solar cooker?

Answer: When the light rays which travels parallel to the principal axis of concave mirror, they will meet at Focus after reflection

Question 61.
Draw the ray diagram to show the formation of image for the object of height 1 cm. placed at 5cm. distance, in front of a convex mirror having the radius of curvature R = 5cm?

Answer:

2 Marks Questions
Question 1.
A fish looks up from the water making a perpendicular angle 45°C. Can the fish see the sky on the surface of water? Explain?

Answer: If the incidence angle is less than the critical angle takes place. Given incidence angle = ?1 = 45° nwaterXsin?c = nairXsin90° Refractive index of water = 43 Refractive index of air = 1 43×sin?c=1×1 sin?c=1×34=34??c=sin?1(34)=47.85? ? ?c ?1 So fish can see the sky

Question 2.
The focal length of. huge concave mirror is 120 cm. A man Is standing in front of it at a distance of 40cm. What are the characteristics of his image in that mirror?

Answer: Object distance = u = - 40 cm Focal length f = -120 cm (? concave mirror) Image distance v =? Mirror formula 1f=1v+1u?1120=1v?140 1v=140?1120=3?1120=2120=160 ? v = 60 cm Image distance = 60 cm. Magnification = m =  Image distance  Object distance =?60?20 = 3 cm Here + represents Image is virtual, erect and magnified

Question 3.
There Is an object in front of convex  mirror at a distance of 5 cm. If Its focal length Is 10 cm then?
  1. What Is the image distance
  2. What is Its magnification

Answer:

  1. In the case of convex mirror. Object distance = u = - 5 cm Focal length = f = + 10 cm
  2. Magmfication (m) = ?vu=?3.33?5 = 0.66
Question 4.
Write any two uses of each of concave and  convex mirrors In our daily life?

Answer: Uses of Convex mirrors

  1. Convex mirrors are used as rear-view mirrors In cars, scooters, motorcycles, buses and trucks etc
  2. Convex mirrors are used In telescopes
Concave mirrors:
  1. Concave mirrors are used as shaving mirrors and used by dentists, eye specialists etc
  2. Coeica"e mirrors at e use1 as reflectors in the headlights of vehicles such as motorcycles, cars etc
  3. Large concave mirrors can be used to concentrate sunlight to produce neat ifl a solar heating device
  4. Concave mirrors are also used in telescopes
Question 5.
Which objects at your home act as spherical mirrors?

Answer:

  1. TIe outer surfaces of stainless steel utensils,. spoons, plates, etc., act as convex mirrors
  2. The inner surfaces of the above said articles act as concave mirrors
  3. Any bought surface with high polish acts as a convex mirror
Question 6.
Suggest a new use with a spherical mirror?

Answer:

  1. Concave mirrors are used in long focal-length camera lenses
  2. In Super sniper to focus arid gritty sound from a great distance onto a microphone pick up
  3. At one end of some gas LASERS to focus the emerging beam of light
  4. In the telescopes to focus the very weak radio waves onto the suspended antenna
Question 7.
Write about different points related to mirrors?

Answer: The different points related to mirrors are

  1. Vertex (P): The point where the central axis touches the mirror is called vertex
  2. Focus or focal point (F): The rays coming from a distant object meet at a point on principal axis after reflection. That point is known as focus or focal point
  3. Centre of curvature (C): It is the centre of the sphere to which The mirror belongs
Question 8.
Write about various distances related to mirrors?

Answer: The various distances related to mirrors are

  1. Focal length (f): The distance between vertex and focus is called focal length
  2. RadIus of curvature (R): The distance between vertex and centre of curvature is called radius of curvature
  3. Object distance: It is the distance between the object and pole of mirror and is denoted by u
  4. Image distance: It is the distance between the Image and pole of the mirror and is denoted by y
Question 9.
What happens If an object is placed at centre of curvature of a mirror?

Answer: From the ray diagram, we conclude that the image of the object will be formed at the same distance as the object and it will be inverted and of the same size. The image Is real because it forms on a screen.

Question 10.
Would you be able to burn a paper using concave mirror?

Answer:

  1. Concave mirror focuses the parallel sun rays at focal point of the mirror
  2. So with a small concave mirror we can heat up and bum a paper.
Question 11.
Cana plane mirror ever form a real image?

Answer:

  1. Real images can only be formed when the reflected rays converge
  2. For plane mirrors it is not possible
  3. However if the reflected rays are converged it can form a real image
  4. Consider a source of light at infinity (say sun) and plane mirror is very small in size, its reflected image will show a circular bright spot (Image of sun) on the screen
Question 12.
Identify types of  mirrors without actually touching it. (move the mirror to and from)?

Answer:

  1. Plane  mirror: It forms the mage es of same size
  2. Concave mIrror: Image es curved, bringing the mirror closer, magnifying the image. Moving it away, the Image Is Inverted and reduced
  3. Convex mirror: Mirror image is always diminished but erect. The viewpoint is wider
Question 13.
Why there is right-left inversion (lateral Inversion) when we look into mirror?

Answer:

  1. The light rays which come from object get reflected from the plane mirror and reach our eye
  2. Our brain feels that the ray Is coming from the inside of mirror
  3. So there Is right-left inversion
Question 14.
List out the four properties of the Image formed by a convex mirror?

Answer: Properties of the image formed by a convex mirror

  1. The image is always virtual and erect
  2. The image is highly diminished or point sized
  3. It is always formed between F and R
  4. The object and image are on opposite sides of mirror
Question 15.
The magnification of the image by the concave mirror is -1. Mention the four characteristics of Image from the above Information?

Answer: Magnification = -1. This means the image size is equal to the object size. In this case the object will be at centre of curvature C and the image also will be formed at C

Characteristics of image :

  • Image is real
  • Image is inverted
  • Size of image Is equal to the size of the object
  • Image will be formed at C
Question 16.
Why periscopes are in Z shape? Why not In other shapes? Make a guess. Try to check whether your guess Is correct or not?

Answer: Generally, periscopes are used to see the objects which are at a greater height by hiding In ground. The beam of light which is incident on the first mirror must be Incident on second mirror after reflection from the first mirror. The mirrors are arranged at an angle of 45°. It is possible only when It Is in the shape of Z and In other shapes it Is impossible to see the object by hiding. So periscopes are in Z shape. Eg : Let us assume that periscope is in T shape. It is impossible to see the object by hiding

https://www.manabadi.co.in/articles/ncert/images/TS-10th-Class-Physical-Science-Important-Questions-Chapter-1-Reflection-of-Light-at-Curved-Surfaces-6-1.png"/>
Question 17.
State the laws of reflection of light?

Answer:

  1. When light gets reflected from a plane surface, the angle of reflection is equal to the angle of Incidence.i.e., ?i = ?r
  2. The Incident ray, the normal at the point of Incidence and the reflected ray lie in the same plane. i.e. AO, ON, OB are in same plane.
Question 18.
How do you appreciate the role of spherical mirrors In our daily life?
(OR) Write the usage of spherical mirror In daily life situations. (OR) How do you appreciate the importance of spherical mirrors In our daily usage?

Answer:

  1. Spherical mirrors are useful in our daily life in many ways
  2. Convex mirrors are used as rear-view mirrors In cars, scooters, buses, etc. This helps us to see the traffic behind the vehicle, which avoids accidents while taking turns
  3. Concave mirrors are used by dentists, ophthalmologists, to see the smaller parts of teeth, eyes and ears
  4. Concave mirrors are also used in solar heating devices
  5. Concave mirrors are used as shaving mirrors to see a large image of the chin (or) face
Question 19.
How do you appreciate the use of reflection of light by a concave mirror In making of TV antenna dishes?

Answer:

  1. I appreciate the working process of TV antenna dishes
  2. They contain the concave surfaces to receive the signals from the distinct communication satellites
  3. The concave (parabolic) shape of a dish antenna helps to reflect signals to the focal point of the dish
  4. A device known as feed horn is mounted at the focal point which gathers the signais and sends them to a processing unit
Question 20.
Have you ever observed the image of the sky In rainwater pools on earth? Explain the reflection of light In this context?

Answer:

  1. The image of the sky Is formed in the rainwater pool on earth
  2. Ught rays coming from blue sky travel through nearly the same air layers and all are bent over to the same amount
  3. Therefore, rays coming from the top of object will arrive lower than those from the bottom
  4. The image usually is upside down, enhancing the illusion that the Image of the sky is seen in the water which is acting as a  mirror
Question 21.
Discuss the merits and demerits of using  mirrors in building elevation?

Answer: Merits:

  • When sunlight falls on the building, the light rays reflect back and building does not heat up
  • Mirrors do not get rust and can be cut into different shapes and sizes
Demerits:
  1. Elevation of buildings with mirrors is not suggestable
  2. These mirrors reflect sun rays at day time and reflectS lighting from nearby electrical bulbs at night time, which causes confusion and disturbance for the vehicles and people who are running on the nearby roads lead to accidents
  3. Birds like sparrows, crows will get confusion while flying on roads
  4. They are also not safe enough to the buildings, as they cause easy access to thieves
4 Marks Questions
Question 1.
Focal length of a concave mirror Is f. The distance from Its focal point to the object is P. Find the ratio of heights of image?

Answer: Concave mirror Is a part of spherical mirror. Magnification of a spherical mirror = m = ff?u Focal length of a mirror = f The distance from focal point to the object is = p

  1. When the object is placed within the focus, then u = - (f- P), f = f Magnificatlon of the mirror = m =  Size of image  Size of object =?f?f+(f?p)=fp ........... (1)
  2. If the object placed beyond F at a distance P. So = u = - (f + P) = f = - f Magnification of the mirror = ff?u=?fp ......... (2) (1)(2)=h1h2=OJ×fp?OJ×fp = -1
Question 2.
In the following cases calculate the magnification values for a concave mirror. Give reason?
  1. When the object is at the focal point of the mirror
  2. When the object Is between focal point and the pole

Answer: In the case of concave mirror

  1. When the object Is at the focal point of the mirror then its magnification value is -1. Reason: In this case size of the image is large, compare with the object. It is called virtual image. Image is formed behind the mirror so magnification has negative sign. Nature of the image: It ¡s real, inverted, enlarged and forms at infinity.
  2. When the object Is between focal point (F) and the pole (P) of the mirror, then its magnification value is + 1. Reason: In this case image is formed on the same side of the object and it is also virtual Image so, the sign of the magnification Is positive. Nature of the Image: It is virtual, erect, enlarged and on the same side of the object.
Question 3.
You are given three mirrors of equal size - concave, convex and plane. How will you identify them without touching their surfaces?

Answer: We look our face In each mirror, in one after the other. First we keep our face quite close to the mirror and then move It slowly away from the mirror

  1. If the image formed Is of same size as our face but laterally Inverted for all positions, then it Is a plane mirror
  2. If the Image formed ¡s erect and enlarged Initially but gets inverted as the face is moved away, then it Is a concave mirror
  3. If the image formed is erect and smaller In size for aft positions then t is a convex mirror
Question 4.
Explain the formation of virtual image by a concave mirror?

Answer:

  1. Let the object is placed at a distance less than the focal lenqth of the mirror
  2. The first ray (R1) will start from tip of the object and run parallel to axis to get reflected so as to pass through the focal point
  3. The ray (R2) which is passing through focal point is not possible to draw
  4. Let us consider a ray that starts from the tip of the object and goes In such a direction that it would go through the centre of curvature if extended backwards
  5. This ray Is normal to the surface and so will be reflected along the same line In opposite direction and will go through the centre of curvature
  6. If we extend these two rays (R1 and R3) backward till they meet, an enlarged, erect image is formed which cannot be caught on the screen but visible through  mirror. This is the virtual image formed by a concave mirror
Question 5.
Write the rules to trace an Image forward by a convex mirror?

Answer:

    Rule 1. : A ray, running parallel to axis. on meeting the convex mirror,will get the reflected so as to appear as it is coming from the focal point. Rule 2: A ray going in the direction of focal point, after reflection, will become parallel to main axis. Rule 3: A ray going ¡n the direction of the centre of curvature on reflection, will get back In opposite direction and looks that it is coming from the centre of curvature.
Question 6.
Sukumar saw his face in car rearview mirror. He observed that his Image is smaller than the original?
  1. What type of mirror it is
  2. What is the nature of image
  3. Draw the ray diagram for it

Answer:

  1. The mirror is convex mirror which is also called as Rear view mirror
  2. The nature of image is erect, virtual, smaller than size of object
Question 7.
A student conducted an experiment to observe characteristics of images formed by spherical  mirrors and recorded his observations as follows. Observe the table and answer the
Questions?
  1. Above said Information belongs to which sphencal mirror
  2. In which situation, magnification Is less than 1
  3. An object of height 8 cm placed at centre of curvature on principal axis, then where do you get the image and what is its height
  4. "All real images are inverted". Justify the statement by using above table

Answer:

  1. It is a Concave mirror
  2. When object Is kept beyond C then magnification is less than
  3. Image formed at C. The height of the image is 8 cm
  4. According to the table if the image is erected, it is a real image. In all tne other cases very real image Is Virtual Image
Question 8.
Make a Solar heater / Cooker and explain the process of making.(AS5)?

Answer: Making of solar heater/cooker

  1. Make a wooden/Iron frame in the shape of TV dish antenna
  2. Cut the acrylic mirror sheets Into 8 or 12 places in the shape of Isosceles triangle with a height equal to the radius of your dish antenna
  3. The bases of 8 or 12 triangles together make the circumference of the dish
  4. Stick the triangle mirrors to the dish
  5. Face the dish towards the sun. Find the focal point and place a vessel at that point
  6. It will become heated. Even you can cook rice in that vessel
  7. In this way we will make a solar heater/cooker
Additional Problems
Question 1.
An object 4 cm In size is placed at 25 cm In front of a concave mirror of focal length 15 cm. At what distance from the mirror should a screen be placed in order to obtain a sharp image? Find the nature and size of image?

Answer: Given that f = -15 cm; u = -25 cm; h0 = 4 cm; v = ? The mirror formula Is 1f=1u+1v?1?15=1?25+1v?1v=125?115=3?575=?275=-37.5 cm. v = -37.5 cm The screen should be placed 37.5 cm from the pole of mirror and the image is real. Magnification, m = =hiho=?vu?hi4=?37.525?hi=?37.525×4 = -6cm So the image is enlarged and inverted

Question 2.
An object of size 7 cm is placed at 27 cm in front of a concave mirror of focal length 18 cm. At what distance from the mirror should a screen be placed to obtaIn a sharp Image ? FInd size and nature of the Image?

Answer: Given that h0 = 7cm; u =- 27cm; f= -18cm; v = ? The mirror formula is 1f=1v+1u?1?18=1?27+1v 1v=?118+127?1v=?3+254=?154 So, v = - 54 cm, So the screen should be placed 54 cm from the  mirror and the image is real and inverted. MagnifIcation, m=hiho=?vu?hi7=?(?54)27?hi=?(?54)27×7 = -14 cm(Hence the image is inverted). As the size of the object Is 7cm the image is enlarged two times

Question 3.
An object 3 cm high Is placed at a distance of 15 cm from a concave mirror, the radius curvature is 20 cm. Find the nature, position and size of the image. (V = -30 cm, m = -2, h2 = -6 cm)?

Answer: h0 = 3 cm u = -15 cm r = -20 cm f= r2 =-10cm Mirror formula is = 1f=1u+1v?1?10=1?15+1v ? 1v=115?110=2?330=?130 = -30 cm So the Image Is real and Inverted and beyond C. Magnification = ?vu=?(?30)?15 = -2 Therefore the image is enlarged hiho = -2 ? hi3 = -2 ? hi = -6 cm ? Size of the image = 6 cm

Question 4.
An object is placed at a distance of lo cm. from a convex mirror of focal length 15 cm. Find the position and nature of image?

Answer: According to the sign convention. Focal length, f = 15 cm. Object distance, u = - 10cm (negative sign) Image distance, v = ? Formula: 1f=1u+1v 115=?110+1v ? The image Is formed at a distance of 6 cm. at the back of the mirror. Magnification, m = hih0=?vu=?6?10=35 = 0.6 The image is virtual, erect and diminished 0.6 times of the size of object

Do You Know

How does light travel? Light Is a form of electromagnetic radiation. It travels as waves that do not require any medium for their propagation. Light is the visible part of these waves having a wavelength of 0.4 to 0.7 tm. The colour of light emitted by a particular substance is characteristic of the atoms present in the substance. Although light travels In straight lines, It can be bent around curves and edges by making use of optical fibres. Optical fibers are bundles of very thin strands of exceptionally clear  glass

Question Papers / Notes Download


Videos


Join
Intermediate
-