TS Inter 1st Year Maths 1A Functions Solutions Exercise 1(b)
I.
Question 1.
If f(x) = ex, and g(x) = logex, then show that fog = gof and find f-1 and g-1.
Answer:
Given f(x) = ex and g(x) = logex
Now (fog) (x) = f[g(x)] = f [logex]
= elogex = x
(gof) (x) = g [f(x)] = g [ex] = logeex = x
fog = gof
given f(x) = ex = y
then x = f-1 (y) and y = ex β x = logey
f-1(y) = logey β f-1 (x) = logex
similarly y = g(x) = logex
then x = g-1 (y) and y = logex
β x = ey
g-1 (y) = ey β g-1(x) = ex
Question 2.
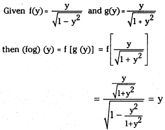
If f(y) = y/β1βy2, g(y) = y/β1+y2 then show that (fog)(y) = y.
Answer:
β΄ (fog) (y) = y
Question 3. If R β R; g : R β R are defined by . f(x) = 2x2 + 3 and g(x) = 3x β 2, then find
(i) (fog) (x)
(ii) (gof) (x)
(iii) (fof)(0)
(iv) go (fof) (3)
Answer:
f; R β R; g : R β R and
f(x) = 2x2 + 3, g(x) = 3x β 2 then
(i) (fog) (x) = f [g (x)] = f (3x β 2)
= 2 [(3x β 2)2] + 3 (β΅ f (x) = 2x2 + 3)
= 2 [9x2 β 12x + 4] + 3
= 18x2 β 24x + 11
(ii) (gof) (x) = g [f (x)] = g (2x2 + 3)
= 3 (2x2 + 3) -2 = 6x2 + 7
iii) (fof) (0) = f [f (0)] = f [3] = 2(3)2 + 3 = 21
iv) go (fof) (3)
= go [f (f (3))] (v f (x) = 2x2 + 3)
= go [f (2(3)2 + 3)]
= go [f (21)]
= g [2 (21)2 + 3]
= g [2 (441) + 3]
= g [885]
= 3 (885) β 2 = 2653 (β΅ g(x) = 3x β 2)
Question 4.
If f:R β R, g:R β R are defined by f(x) = 3x β 1, g(x) = x2 + 1, then find
(i) (fof) (x2 + 1)
(ii) (fog) (2) (March 2012)
(iii) (gof)(2a β 3)
Answer:
Given f: R β R and g : R β R defined by f (x) = 3x β 1, g (x) = x2 + 1
(i)(fof) (x2 + 1 ) = f [f (x2 + 1)]
= f [3 (x2 + 1) β 1]
β f [3x2 + 2] (β΅ f (x) = 3x β 1)
= 3 (3Γ2 + 2) β 1 = 9Γ2 + 5
(ii) (fog) (2) = f [g (2)] = f [22 + 1] = f [5]
= 3(5) β 1 = 14
(iii) (gof ) (2a β 3)
=g[f(2a β 3)]
= g[3(2a β 3) β 1] (β΅ f(x) = 3x- 1)
= g [6a β 10]
= (6a β 10)2 + 1 (β΅ g(x)=x2 + 1)
= 36a2 β 120a + 101
Question 5.
If f(x) = 1/x, g(x) = βx β x β (0, β) then find (gof)(x).
Answer:
(gof)(x) = g[f(x)] = g[1/x]
= 1/βx (β΅ g(x) = x)
Question 6.
f(x) = 2x β 1, g(x) = x+1/2 β x β R, find (gof)(x).
Answer:
(gof)(x) = g[f(x)] = g(2x β 1)
= 2xβ1+1/2 = x (β΅ g(x) = 2xβ1+1/2)
Question 7.
If f(x) = 2, g(x) = x2, h(x) = 2x β x β R, then find [fo(goh) (x)].
Answer:
fo(goh)= fog [h(x)]
= fog [2x]
= f [g(2x)]
= f [ (2x)2 ] = f (4x2) = 2
β΄ fo(goh) = 2
Question 8.
Find the inverse of the following functions.
(i) a, b β R, f: R β R, defined by f(x) = ax + b, (a β 0).
Answer:
a, b β R, f : R β R and f(x) = ax + b
β y = ax + b = f(x)
β x = f-1(y)
= yβb/a
β΄ f-1(x) = xβb/a
(ii) f: R β (0, β) defined by 5x (March 2011)
Answer:
f: Rβ (0, β) and f(x) = 5x
Let y = f (x) = 5x β x = f-1(y)
and x = log5y
β΄ f-1(y) = log5y β f-1(x) = log5x
(iii) f : (0, β) β R defined by f(x) = log2x
Answer:
Giiβen f: (0, β) β R defined by f(x) = log2x
Let y = f (x) = log2x then x = f1 (y)
y = log2x β x = 2y
β΄ f-1(y) = 2y β f-1(x) = 2x
Question 9.
If f(x) = 1 + x + x2 + β¦β¦β¦β¦.. for |x| < 1, then show that f-1(x) = xβ1/x
Answer:
Given f(x) = 1 + x + x2 + β¦β¦β¦. for |x| < 1
Question 10.
If f : [1, β] β [1, β] defined by f(x) = 2x(x β 1), then find f-1(x)
Answer:
Given f : [1, β] β [1, β] defined by f(x) = 2x(x β 1)
Let y = f(x) then x = f-1(y)
Also y = 2x(x β 1) β x(x β 1) = log2y
β x2 β x β log2y = 0
II.
Question 1.
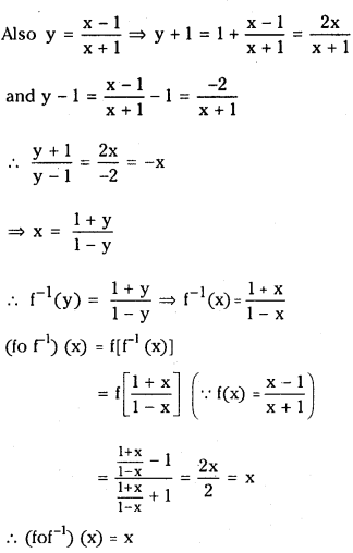
If f(x) = xβ1/x+1, x β Β±1, then verify (fof-1)(x) = x
Answer:
Given f(x) = xβ1/x+1, (x β Β±1)
and Let y = f(x) β x = f-1(x)
Question 2.
If A = (1, 2, 3), B = (Ξ±, Ξ², Ξ³), C = (p, q, r) and f : A β B, g : B β C are defined by f = {(1, Ξ±), (2, Ξ³), (3, Ξ²)}, g = {(Ξ±, q), (Ξ², r), (Ξ³, p)}
then show that f and g are bijective functions and (gof)-1 = f-1og-1.
Answer:
Given A = {1, 2, 3}, B = (Ξ±, Ξ², Ξ³), c = {p, q, r) and f : A β B, g : B β C defined by f ={(1, Ξ±) (2, Ξ³), (3, Ξ²)}and g = {(a, q), (Ξ², r), (Ξ³, p)}
From the definitions of f and g f (1) = Ξ±, f (2) = Ξ³, f (3) = Ξ² and g (Ξ±) = q, g (Ξ²) = r, g (Ξ³) = p
Distinct elements of A have distinct imagine in B. Hence f is an Injection. Also, range of f = (a, y, P) and f is a surjection.
β΄ f is abijection = B similarly distinct elements of B have distinct images in c and g is an Injection.
Also range of βgβ = {q, Ξ³, p} = C;
β΄ g is a surjection.
Hence g is a bijection.
β΄ f and g are bijective functions.
Also gof = {(1, q), (2, r), (3, p)}
and (gof-1) = {(q, 1), (r, 2), (p, 3)} β¦β¦β¦β¦β¦.(1)
f-1 = {(Ξ±, 1), (Ξ³, 2), (Ξ², 3)}
and g-1 = {(q, Ξ±), (r, Ξ²), (p, Ξ³)}
β΄ f-1og-1 ={(q, 1), (r, 2), (p, 3)} β¦β¦β¦β¦β¦β¦(2)
β΄ From (1) and (2), (gof-1) = f-1og-1
Question 3.
If f:R β R; g:R β R defined by f(x) = 3x β 2, g(x) = x2 + 1, then find
(i) (gof-1) (2)
(ii)(gof)(x β 1) (March 2008, May 2006)
Answer:
Given f: R β R, g : R β R defined by f(x) = 3x β 2, g(x) = x2 + 1
et y = f (x) then x = f-1 (y)
y = 3x β 2 β 3x = y + 2
β x = y+2/3
β΄ f-1(y) = 3+2/3 β f-1(x) = x+2/3
β΄ (i)(gof-1) (2) = g[f-1(2)] = g[4/3]
= (4/3)2 + 1 = 16/9 + 1 = 25/9
(ii)(gof) (x β 1) = g [f (x β 1)
= g [3 (x β 1) β 2] = g [3x β 5]
= (3x β 5)2 + 1
= 9x2 β 30x + 26
(β΅ g(x) = x2 + 1)
Question 4.
Let f = {(1, a), (2, c), (4, d), (3, b)} and g-1 = {(2, a) (4, b), (1, c), (3, d)} then show that (gof)-1 = f-1o g-1
Answer:
Given f = {(1, a), (2, c), (4, d), (3, b)} and g-1 = {(2, a), (4, b), (1, c), (3, d)}
β΄ g = {(a, 2), (b, 4), (c, 1), (d, 3)} gof = {(1, 2), (2, 1), (4, 3), (3, 4)}
β΄ (gof)-1 = {(2, 1), (1, 2), (3, 4), (4, 3)}
f-1 = {(a, 1) (c, 2), (d, 4), (b, 3)}
g-1 = {(2, a), (4, b), (1, c), (3, d)}
f(x) = 3x β 2, g(x) = x2 + 1
Let y = f (x) then x = fβ (y)
β΄ f-1o g-1 = {(2, 1), (1, 2), (4, 3), (3, 4)}
(gof)-1 = f-1o g-1
Question 5.
Let f:R β R; g:R β R be defined by f(x) = 2x β 3, g(x) = x3 + 5 then find (fog)-1(x)
Answer:
We have from the formula
(fog)-1(x) = (g-1of-1) β¦β¦β¦β¦..(1)
where f: R β R and g : R β R are defined by
f(x) = 2x β 3 and g(x) = x3 + 5
Let y = f(x) = 2x β 3 : Then x = f-1(y)
and 2x β 3 = y β x = y+3/2
f-1(x)x+3/2 β¦β¦β¦..(2)
Let y = g(x) = x3 + 5. Then x = g-1(y) and x3 + 5 = y
β x = (y β 5)1/3
g-1(y) = (y β 5)1/3
g-1(x) = (x β 5)1/3 β¦β¦β¦.(3)
From (1), (g-1of-1)(x)
Question 6.
Let f(x) = x2,g(z) = 2x. Then solve the equation (fog) (x) = (gof) (x)
Answer:
Given f(x) = x2 and g(x) = 2x
(fog) (x) = f [g(x)] = f [2x] = (2x)2 = 22x β¦β¦β¦β¦β¦(1)
and (gof)(x) = g[f(x)] = g[x2] = 2x2
β΄ from (1) and (2), 22x = 2x2
β x2 β 2x = 0
β x(x β 2) =0
β x = 0, 2
Question 7.
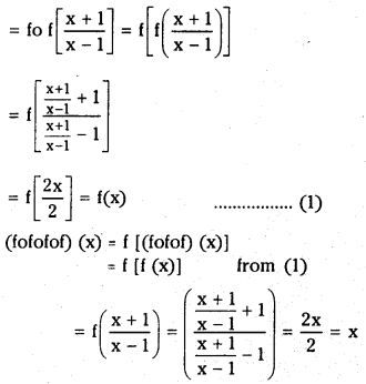
If f(x) = x+1/xβ1,(x β Β±1),then find(fofof)(x) and (fofofof) (z)
Answer:
Given f(x) = x+1/xβ1, (x β Β± 1)
then (fofof) (x) = fof(f(x)]
Contents
- 1 TS Inter 1st Year Maths 1A Functions Solutions Exercise 1(b)
- 2 Question 1.If f(x) = ex, and g(x) = logex, then show that fog = gof and find f-1 and g-1.
- 3 Question 2.If f(y) = y/β1βy2, g(y) = y/β1+y2 then show that (fog)(y) = y.
- 4 Question 3. If R β R; g : R β R are defined by . f(x) = 2x2 + 3 and g(x) = 3x β 2, then find(i) (fog) (x)(ii) (gof) (x)(iii) (fof)(0)(iv) go (fof) (3)
- 5 Question 4.If f:R β R, g:R β R are defined by f(x) = 3x β 1, g(x) = x2 + 1, then find(i) (fof) (x2 + 1)(ii) (fog) (2) (March 2012)(iii) (gof)(2a β 3)
- 6 Question 5.If f(x) = 1/x, g(x) = βx β x β (0, β) then find (gof)(x).
- 7 Question 6.f(x) = 2x β 1, g(x) = x+1/2 β x β R, find (gof)(x).
- 8 Question 7.If f(x) = 2, g(x) = x2, h(x) = 2x β x β R, then find [fo(goh) (x)].
- 9 Question 8.Find the inverse of the following functions.(i) a, b β R, f: R β R, defined by f(x) = ax + b, (a β 0).
- 10 Question 9.If f(x) = 1 + x + x2 + β¦β¦β¦β¦.. for |x| < 1, then show that f-1(x) = xβ1/x
- 11 Question 10.If f : [1, β] β [1, β] defined by f(x) = 2x(x β 1), then find f-1(x)
- 12 Question 1.If f(x) = xβ1/x+1, x β Β±1, then verify (fof-1)(x) = x
- 13 Question 2.If A = (1, 2, 3), B = (Ξ±, Ξ², Ξ³), C = (p, q, r) and f : A β B, g : B β C are defined by f = {(1, Ξ±), (2, Ξ³), (3, Ξ²)}, g = {(Ξ±, q), (Ξ², r), (Ξ³, p)}then show that f and g are bijective functions and (gof)-1 = f-1og-1.
- 14 Question 3.If f:R β R; g:R β R defined by f(x) = 3x β 2, g(x) = x2 + 1, then find(i) (gof-1) (2)(ii)(gof)(x β 1) (March 2008, May 2006)
- 15 Question 4.Let f = {(1, a), (2, c), (4, d), (3, b)} and g-1 = {(2, a) (4, b), (1, c), (3, d)} then show that (gof)-1 = f-1o g-1
- 16 Question 5.Let f:R β R; g:R β R be defined by f(x) = 2x β 3, g(x) = x3 + 5 then find (fog)-1(x)
- 17 Question 6.Let f(x) = x2,g(z) = 2x. Then solve the equation (fog) (x) = (gof) (x)
- 18 Question 7.If f(x) = x+1/xβ1,(x β Β±1),then find(fofof)(x) and (fofofof) (z)
